×
Close
Login
Home
SCI Abstract
Library D
Community
Events
Events & Partner
WeMed
Media Partners
Educational Partner
User Tools
FAQ/USER GUIDE
Language
English
中文/ Chinese
Contact Us
×
Close
mdla_1
mdla_2
mdla_3
mdla_4
mdla_5
mdla_6
Categories
Neurosciences
38938
Global Medical University
4984
Allergy
1778
Anatomy & Morphology
1547
Andrology
414
Anesthesia & Intensive Care
1191
Anesthesiology
5409
Audiology & Speech-Language Pathology
333
Behavioral Sciences
104
Biochemical Research Methods
6773
Biochemistry & Molecular Biology
29193
Biodiversity Conservation
287
Biology
8218
Biophysics
8073
Biotechnology & Applied Microbiology
8124
Cardiac & Cardiovascular Systems
30613
Cardiovascular & Respiratory Systems
1372
Cell & Tissue Engineering
654
Cell Biology
10809
Chemistry, Analytical
4215
Chemistry, Applied
11000
Chemistry, Medicinal
8464
Chemistry, Multidisciplinary
18460
Clinical Immunology & Infectious Disease
425
Clinical Medicine
8743
Clinical Neurology
16225
Clinical Psychology & Psychiatry
1276
Critical Care Medicine
3123
Dentistry, Oral Surgery & Medicine
12879
Dermatology
7541
Developmental Biology
6887
Ecology
655
Education, Scientific Disciplines
1894
Emergency Medicine
3952
Endocrinology, Metabolism & Nutrition
23481
Engineering, Biomedical
3604
Entomology
432
Environmental Medicine & Public Health
4625
Evolutionary Biology
256
Gastroenterology & Hepatology
11803
General & Internal Medicine
6913
Genetics & Heredity
14689
Geriatrics & Gerontology
5009
Gerontology
334
Health Care Sciences & Services
15553
Health Policy & Services
601
Hematology
5452
Immunology
24612
Infectious Diseases
13606
Integrative & Complementary Medicine
2797
Medical Ethics
1138
Medical Informatics
2114
Medical Laboratory Technology
433
Medicine, General & Internal
44098
Medicine, Legal
479
Medicine, Research & Experimental
17396
Microbiology
22714
Mycology
0
Nanoscience & Nanotechnology
5003
Neuroimaging
1280
Neurology
4396
Nursing
9282
Nutrition & Dietetics
7771
Obstetrics & Gynecology
8032
Oncology
51417
Ophthalmology
9448
Optics
4041
Orthopedics
11319
Orthopedics, Rehabilitation & Sports Medicine
1713
Otolaryngology
1494
Otorhinolaryngology
4785
Parasitology
1033
Pathology
4837
Pediatrics
21020
Peripheral Vascular Disease
4644
Pharmacology & Pharmacy
33932
Pharmacology/Toxicology
12014
Physiology
8866
Polymer Science
539
Primary Health Care
794
Psychiatry
18811
Psychology
5057
Psychology, Applied
91
Psychology, Biological
316
Psychology, Clinical
784
Psychology, Developmental
235
Psychology, Educational
132
Psychology, Experimental
123
Psychology, Mathematical
0
Psychology, Multidisciplinary
1579
Psychology, Psychoanalysis
41
Psychology, Social
114
Public Health & Health Care Science
2205
Public, Environmental & Occupational Health
26934
Quantum Science & Technology
0
Radiology, Nuclear Medicine & Imaging
12009
Radiology, Nuclear Medicine & Medical Imaging
7764
Rehabilitation
2951
Remote Sensing
0
Reproductive Biology
2732
Reproductive Medicine
1164
Research/Laboratory Medicine & Medical Technology
3854
Respiratory System
7094
Rheumatology
5683
Social Sciences, Biomedical
1178
Substance Abuse
2656
Surgery
33130
Toxicology
4204
Transplantation
939
Tropical Medicine
314
Urology & Nephrology
12700
Veterinary Sciences
35
Virology
2371
Zoology
0
Channels
NEUROPSYCHOLOGY REVIEW
170
BRAIN RESEARCH BULLETIN
0
CELLULAR AND MOLECULAR NEUROBIOLOGY
447
CEREBELLUM
375
CLINICAL NEUROPHYSIOLOGY
1
COGNITIVE COMPUTATION
393
COGNITIVE NEURODYNAMICS
377
CORTEX
586
CURRENT OPINION IN BEHAVIORAL SCIENCES
192
EUROPEAN JOURNAL OF NEUROLOGY
398
EXPERIMENTAL NEUROLOGY
618
FRONTIERS IN AGING NEUROSCIENCE
2724
FRONTIERS IN BEHAVIORAL NEUROSCIENCE
973
FRONTIERS IN CELLULAR NEUROSCIENCE
1408
FRONTIERS IN MOLECULAR NEUROSCIENCE
1422
FRONTIERS IN NEUROENDOCRINOLOGY
141
FRONTIERS IN NEUROLOGY
5475
FRONTIERS IN NEUROROBOTICS
591
FRONTIERS IN NEUROSCIENCE
4547
FRONTIERS IN SYSTEMS NEUROSCIENCE
317
GENES BRAIN AND BEHAVIOR
40
HUMAN BRAIN MAPPING
276
JOURNAL OF CEREBRAL BLOOD FLOW AND METABOLISM
101
JOURNAL OF COMPARATIVE NEUROLOGY
115
JOURNAL OF HEADACHE AND PAIN
395
JOURNAL OF NEURAL ENGINEERING
589
JOURNAL OF NEUROCHEMISTRY
224
JOURNAL OF NEUROSCIENCE
1693
JOURNAL OF NEUROSCIENCE RESEARCH
133
JOURNAL OF PAIN
28
JOURNAL OF PARKINSONS DISEASE
7
JOURNAL OF PINEAL RESEARCH
44
JOURNAL OF SLEEP RESEARCH
205
MOLECULAR AUTISM
127
MOLECULAR BRAIN
156
MOLECULAR NEUROBIOLOGY
896
MOLECULAR NEURODEGENERATION
220
MOLECULAR PAIN
35
MOLECULAR PSYCHIATRY
1009
NATURE NEUROSCIENCE
618
NATURE REVIEWS NEUROSCIENCE
303
NEUROBIOLOGY OF DISEASE
761
NEUROSCIENCE
0
NEUROSCIENCE AND BIOBEHAVIORAL REVIEWS
0
PAIN
599
PROGRESS IN NEUROBIOLOGY
0
PSYCHOPHARMACOLOGY
1141
ASN NEURO
32
BEHAVIORAL AND BRAIN FUNCTIONS
50
BIOLOGICAL PSYCHIATRY-COGNITIVE NEUROSCIENCE AND NEUROIMAGING
0
BRAIN AND BEHAVIOR
270
BRAIN AND COGNITION
0
BRAIN BEHAVIOR AND EVOLUTION
84
BRAIN RESEARCH
0
EUROPEAN JOURNAL OF NEUROSCIENCE
361
FRONTIERS IN INTEGRATIVE NEUROSCIENCE
249
FRONTIERS IN NEUROINFORMATICS
284
INTERNATIONAL CLINICAL PSYCHOPHARMACOLOGY
48
JOURNAL OF CHILD NEUROLOGY
77
JOURNAL OF NEUROPHYSIOLOGY
533
JOURNAL OF NEUROPSYCHIATRY AND CLINICAL NEUROSCIENCES
137
JOURNAL OF NEUROSCIENCE METHODS
1
JOURNAL OF THE PERIPHERAL NERVOUS SYSTEM
25
MOLECULAR AND CELLULAR NEUROSCIENCE
43
NEUROLOGY INDIA
414
NEUROPSYCHOLOGIA
0
NEUROREPORT
267
NEUROSCIENCE LETTERS
0
SYNAPSE
9
INTERNATIONAL REVIEW OF NEUROBIOLOGY
286
JOURNAL OF COMPARATIVE PHYSIOLOGY A-NEUROETHOLOGY SENSORY NEURAL AND BEHAVIORAL PHYSIOLOGY
187
JOURNAL OF STROKE & CEREBROVASCULAR DISEASES
35
REVUE NEUROLOGIQUE
443
TRENDS IN NEUROSCIENCE AND EDUCATION
65
BRAIN-BROAD RESEARCH IN ARTIFICIAL INTELLIGENCE AND NEUROSCIENCE
126
EGYPTIAN JOURNAL OF NEUROLOGY PSYCHIATRY AND NEUROSURGERY
379
INDIAN JOURNAL OF NEUROTRAUMA
92
INTERNATIONAL JOURNAL OF TRYPTOPHAN RESEARCH
12
NEUROSCIENCE INSIGHTS
18
PAIN REPORTS
191
EXPERIMENTAL BRAIN RESEARCH
541
INVERTEBRATE NEUROSCIENCE
20
JARO-JOURNAL OF THE ASSOCIATION FOR RESEARCH IN OTOLARYNGOLOGY
137
JOURNAL OF COMPUTATIONAL NEUROSCIENCE
95
JOURNAL OF MOLECULAR NEUROSCIENCE
379
JOURNAL OF NEURAL TRANSMISSION
380
NEUROCHEMICAL JOURNAL
184
NEUROINFORMATICS
141
NEUROMOLECULAR MEDICINE
130
NEUROSCIENCE BULLETIN
446
NEUROTOXICITY RESEARCH
312
PSYCHOPHARMACOLOGY
377
PURINERGIC SIGNALLING
209
SCI Abstract
search
ALL
RECOMMENDED
+
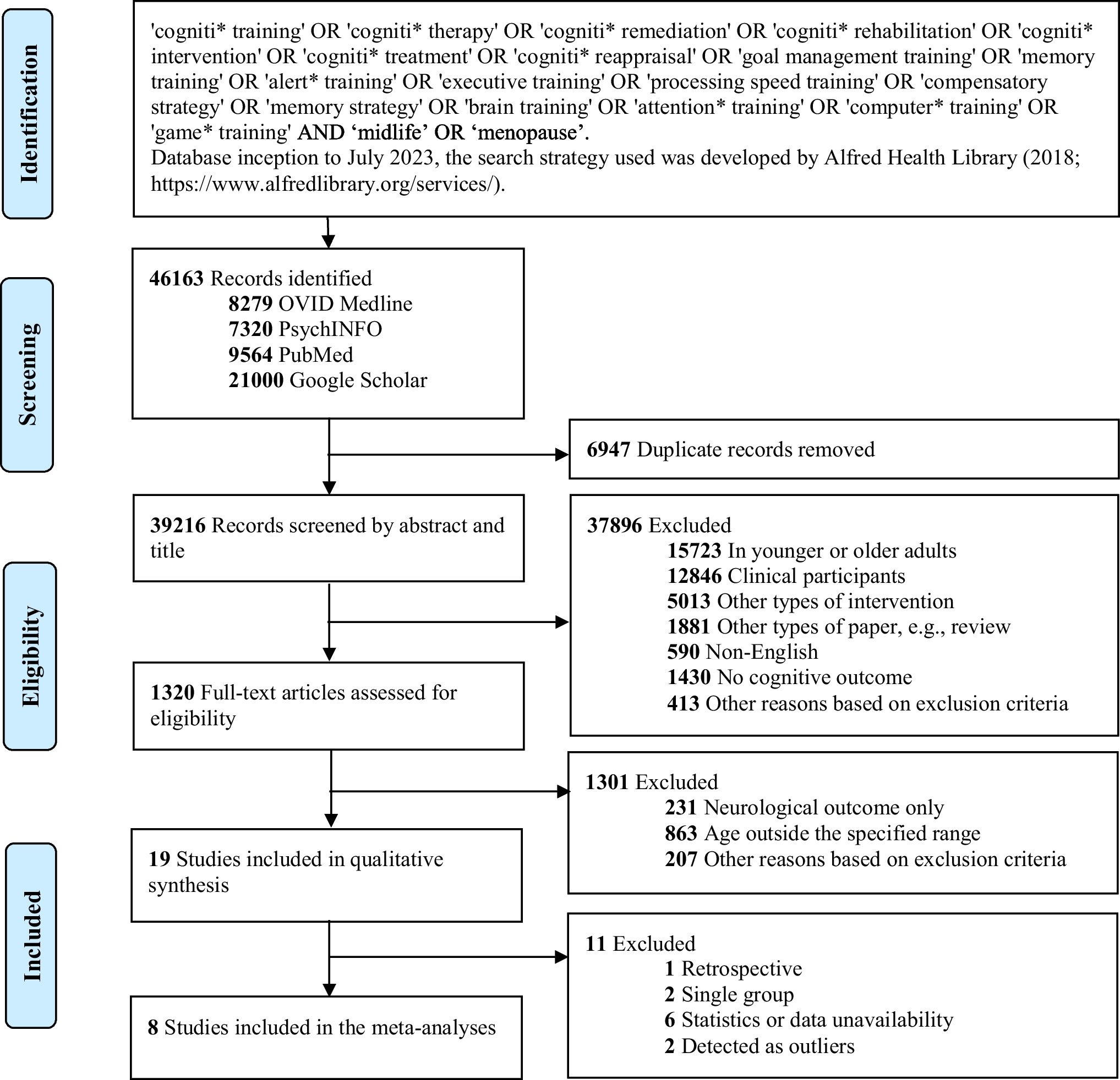
Cognitive Training During Midlife: A Systematic Review and Meta-Analysis
Midlife has been suggested to be a crucial time to introduce interventions for improving cognitive functions. The effects ...
Neuropsychology Review
comment
0
thumb_up
0
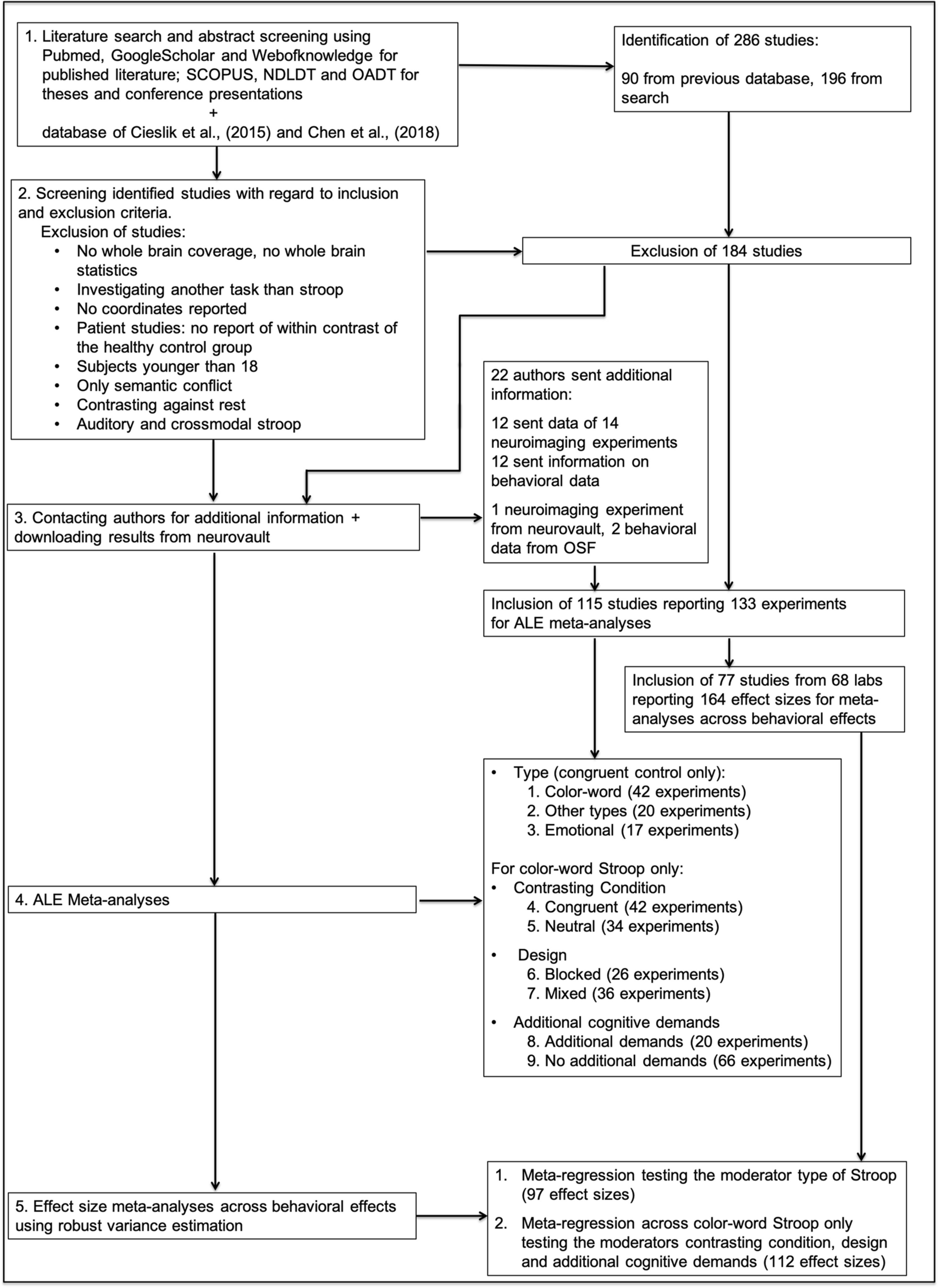
Not All Stroop-Type Tasks Are Alike: Assessing the Impact of Stimulus Material, Task Design, and Cognitive Demand via Meta-analyses Across Neuroimaging Studies
The Stroop effect is one of the most often studied examples of cognitive conflict processing. Over time, many variants of ...
Neuropsychology Review
comment
0
thumb_up
0
Reliability of Theory of Mind Tasks in Schizophrenia, ASD, and Nonclinical Populations: A Systematic Review and Reliability Generalization Meta-analysis
Though theory of mind (ToM) is an important area of study for different disciplines, however, the psychometric evaluations...
Neuropsychology Review
comment
0
thumb_up
0
Verbal and Spatial Working Memory Capacity in Blind Adults and the Possible Influence of Age at Blindness Onset: A Systematic Review and Meta-analysis
The loss of a sense, such as vision, forces individuals to adapt to their environment and its demands in a variety of ways...
Neuropsychology Review
comment
0
thumb_up
0
Implementation of Cognitive (Neuropsychological) Interventions for Older Adults in Clinical or Community Settings: A Scoping Review
Despite compelling evidence that cognitive interventions for older adults improve cognition, mood, and everyday function, ...
Neuropsychology Review
comment
0
thumb_up
0
Measurement Error and Methodologic Issues in Analyses of the Proportion of Variance Explained in Cognition
Existing studies examining the predictive ability of biomarkers for cognitive outcomes do not account for variance due to ...
Neuropsychology Review
comment
0
thumb_up
0
Cognitive Intra-individual Variability in Cognitively Healthy APOE ε4 Carriers, Mild Cognitive Impairment, and Alzheimer’s Disease: a Meta-analysis
Intra-individual variability (IIV) quantifies an individual’s scatter in performances across a test battery (dispers...
Neuropsychology Review
comment
0
thumb_up
0
A Biopsychosocial Framework for Apathy Following Moderate to Severe Traumatic Brain Injury: A Systematic Review and Meta-analysis
Apathy, the deficit of goal-directed behaviour, is well recognised as one of the most debilitating syndromes after moderat...
Neuropsychology Review
comment
0
thumb_up
0
Post-stroke Cognition is Associated with Stroke Survivor Quality of Life and Caregiver Outcomes: A Systematic Review and Meta-analysis
Disability arising from post-stroke cognitive impairment is a likely contributor to the poor quality of life (QoL) stroke ...
Neuropsychology Review
comment
0
thumb_up
0
A Meta-analysis of Cognitive Functioning in Intimate Partner Violence Perpetrators
Numerous psychologists have shown interest in applying neuropsychological tests to study intimate partner violence (IPV) p...
Neuropsychology Review
comment
0
thumb_up
0
A Systematic Review and Meta-analysis of the Neural Correlates of Direct vs. Generative Retrieval of Episodic Autobiographical Memory
There is a widespread view that episodic autobiographical memories (EAMs) can be retrieved “directly” or ̶...
Neuropsychology Review
comment
0
thumb_up
0
The Effects of Transcranial Direct Current Stimulation (tDCS) on the Cognitive Functions: A Systematic Review and Meta-analysis
Previous studies have investigated the effect of transcranial direct current stimulation (tDCS) on cognitive functions. Ho...
Neuropsychology Review
comment
0
thumb_up
0
Delivery of Neuropsychological Interventions for Adult and Older Adult Clinical Populations: An Australian Expert Working Group Clinical Guidance Paper
Delivery of neuropsychological interventions addressing the cognitive, psychological, and behavioural consequences of brai...
Neuropsychology Review
comment
0
thumb_up
0
An Evaluation of Cross-Cultural Adaptations of Social Cognition Testing: A Systematic Review
Social cognition remains one of the most difficult cognitive domains to assess in diverse populations due to a lack of cul...
Neuropsychology Review
comment
0
thumb_up
0
A Systematic Review of tACS Effects on Cognitive Functioning in Older Adults Across the Healthy to Dementia Spectrum
Transcranial alternating current stimulation (tACS) is a form of noninvasive brain stimulation that has experienced rapid ...
Neuropsychology Review
comment
0
thumb_up
0
Within-Individual BOLD Signal Variability and its Implications for Task-Based Cognition: A Systematic Review
Within-individual blood oxygen level-dependent (BOLD) signal variability, intrinsic moment-to-moment signal fluctuations w...
Neuropsychology Review
comment
0
thumb_up
0
Combined Cognitive and Psychological Interventions Improve Meaningful Outcomes after Acquired Brain Injury: A Systematic Review and Meta-Analysis
Interventions addressing cognitive and emotional difficulties after acquired brain injury (ABI) often focus on specific im...
Neuropsychology Review
comment
0
thumb_up
0
Time-Based and Event-Based Prospective Memory in Mild Cognitive Impairment and Alzheimer’s Disease Patients: A Systematic Review and Meta-analysis
Prospective memory (PM) is the ability to remember to perform planned actions in a future moment and it is of fundamental ...
Neuropsychology Review
comment
0
thumb_up
0
Five Challenges in Implementing Cognitive Remediation for Patients with Substance Use Disorders in Clinical Settings
Many patients with substance use disorders (SUDs) present cognitive deficits, which are associated with clinical outcomes....
Neuropsychology Review
comment
0
thumb_up
0
Behavioral Treatment for Speech and Language in Primary Progressive Aphasia and Primary Progressive Apraxia of Speech: A Systematic Review
Primary progressive aphasia (PPA) and primary progressive apraxia of speech (PPAOS) are neurodegenerative syndromes charac...
Neuropsychology Review
comment
0
thumb_up
0
Hand Preference in Stuttering: Meta-Analyses
Reduced hemispheric asymmetries, as well as their behavioral manifestation in the form of atypical handedness (i.e., non-r...
Neuropsychology Review
comment
0
thumb_up
0
Cognition in Chiari Malformation Type I: an Update of a Systematic Review
Chiari malformation has been classified as a group of posterior cranial fossa disorders characterized by hindbrain herniat...
Neuropsychology Review
comment
0
thumb_up
0
fNIRS Studies of Individuals with Speech and Language Impairment Underreport Sociodemographics: A Systematic Review
Functional near-infrared spectroscopy (fNIRS) is a promising tool for scientific discovery and clinical application. Howev...
Neuropsychology Review
comment
0
thumb_up
0
Genuine Memory Deficits as Assessed by the Free and Cued Selective Reminding Test (FCSRT) in the Behavioural Variant of Frontotemporal Dementia. A Systematic Review and Meta-analysis Study
The current diagnostic criteria for the behavioural variant of frontotemporal dementia (bvFTD) foresee a relative sparing ...
Neuropsychology Review
comment
0
thumb_up
0
The Thalamus in Perioperative Neurocognitive Disorders
Thalamus function and structure are known predictors of individual differences in the risk of age-related neurocognitive d...
Neuropsychology Review
comment
0
thumb_up
0
Hemispheric Asymmetry in TMS-Induced Effects on Spatial Attention: A Meta-Analysis
Hemispheric asymmetry is a fundamental principle in the functional architecture of the brain. It plays an important role i...
Neuropsychology Review
comment
0
thumb_up
0
Neuropsychological Deficits in Disordered Screen Use Behaviours: A Systematic Review and Meta-analysis
Over the last few decades, excessive and disordered screen use has become more prevalent, prompting investigations into it...
Neuropsychology Review
comment
0
thumb_up
0
Systematic Review of Gaming and Neuropsychological Assessment of Social Cognition
Playing video games is associated with cognitive changes and possibly psychosocial difficulties. Problematic gaming occurs...
Neuropsychology Review
comment
0
thumb_up
0
Comparing the Symptomatology of Post-stroke Depression with Depression in the General Population: A Systematic Review
Previous research into the phenomenological differences of post-stroke depression (PSD) has typically focused on compariso...
Neuropsychology Review
comment
0
thumb_up
0
Review of Statistical and Methodological Issues in the Forensic Prediction of Malingering from Validity Tests: Part I: Statistical Issues
Forensic neuropsychological examinations with determination of malingering have tremendous social, legal, and economic con...
Neuropsychology Review
comment
0
thumb_up
0
Load More
Modal title
×
Modal title
×
Share
Login
Global News and Health Forum
Join Now!
Member Login
Remember me
Forgot password?
Or using
Linkedin