×
Close
Login
Home
SCI Abstract
Library D
Community
Events
Events & Partner
WeMed
Media Partners
Educational Partner
User Tools
FAQ/USER GUIDE
Language
English
中文/ Chinese
Contact Us
×
Close
mdla_1
mdla_2
mdla_3
mdla_4
mdla_5
mdla_6
Categories
Clinical Neurology
16225
Global Medical University
4984
Allergy
1778
Anatomy & Morphology
1547
Andrology
414
Anesthesia & Intensive Care
1191
Anesthesiology
5409
Audiology & Speech-Language Pathology
333
Behavioral Sciences
104
Biochemical Research Methods
6773
Biochemistry & Molecular Biology
29193
Biodiversity Conservation
287
Biology
8218
Biophysics
8073
Biotechnology & Applied Microbiology
8124
Cardiac & Cardiovascular Systems
30613
Cardiovascular & Respiratory Systems
1372
Cell & Tissue Engineering
654
Cell Biology
10809
Chemistry, Analytical
4215
Chemistry, Applied
11000
Chemistry, Medicinal
8464
Chemistry, Multidisciplinary
18460
Clinical Immunology & Infectious Disease
425
Clinical Medicine
8743
Clinical Psychology & Psychiatry
1276
Critical Care Medicine
3123
Dentistry, Oral Surgery & Medicine
12879
Dermatology
7541
Developmental Biology
6887
Ecology
655
Education, Scientific Disciplines
1894
Emergency Medicine
3952
Endocrinology, Metabolism & Nutrition
23481
Engineering, Biomedical
3604
Entomology
432
Environmental Medicine & Public Health
4625
Evolutionary Biology
256
Gastroenterology & Hepatology
11803
General & Internal Medicine
6913
Genetics & Heredity
14689
Geriatrics & Gerontology
5009
Gerontology
334
Health Care Sciences & Services
15553
Health Policy & Services
601
Hematology
5452
Immunology
24612
Infectious Diseases
13606
Integrative & Complementary Medicine
2797
Medical Ethics
1138
Medical Informatics
2114
Medical Laboratory Technology
433
Medicine, General & Internal
44098
Medicine, Legal
479
Medicine, Research & Experimental
17396
Microbiology
22714
Mycology
0
Nanoscience & Nanotechnology
5003
Neuroimaging
1280
Neurology
4396
Neurosciences
38938
Nursing
9282
Nutrition & Dietetics
7771
Obstetrics & Gynecology
8032
Oncology
51417
Ophthalmology
9448
Optics
4041
Orthopedics
11319
Orthopedics, Rehabilitation & Sports Medicine
1713
Otolaryngology
1494
Otorhinolaryngology
4785
Parasitology
1033
Pathology
4837
Pediatrics
21020
Peripheral Vascular Disease
4644
Pharmacology & Pharmacy
33932
Pharmacology/Toxicology
12014
Physiology
8866
Polymer Science
539
Primary Health Care
794
Psychiatry
18811
Psychology
5057
Psychology, Applied
91
Psychology, Biological
316
Psychology, Clinical
784
Psychology, Developmental
235
Psychology, Educational
132
Psychology, Experimental
123
Psychology, Mathematical
0
Psychology, Multidisciplinary
1579
Psychology, Psychoanalysis
41
Psychology, Social
114
Public Health & Health Care Science
2205
Public, Environmental & Occupational Health
26934
Quantum Science & Technology
0
Radiology, Nuclear Medicine & Imaging
12009
Radiology, Nuclear Medicine & Medical Imaging
7764
Rehabilitation
2951
Remote Sensing
0
Reproductive Biology
2732
Reproductive Medicine
1164
Research/Laboratory Medicine & Medical Technology
3854
Respiratory System
7094
Rheumatology
5683
Social Sciences, Biomedical
1178
Substance Abuse
2656
Surgery
33130
Toxicology
4204
Transplantation
939
Tropical Medicine
314
Urology & Nephrology
12700
Veterinary Sciences
35
Virology
2371
Zoology
0
Channels
PAIN AND THERAPY
291
Dental Journal of Advance Studies
47
JOURNAL OF BRACHIAL PLEXUS AND PERIPHERAL NERVE INJURY
31
International Journal of Epilepsy
23
ALZHEIMERS & DEMENTIA
174
ALZHEIMERS RESEARCH & THERAPY
430
ANNALS OF NEUROLOGY
197
BIPOLAR DISORDERS
122
BRAIN STIMULATION
0
CEPHALALGIA
109
CURRENT NEUROLOGY AND NEUROSCIENCE REPORTS
210
CURRENT OPINION IN NEUROLOGY
223
EUROPEAN ARCHIVES OF PSYCHIATRY AND CLINICAL NEUROSCIENCE
484
INTERNATIONAL JOURNAL OF STROKE
23
JOURNAL OF NEURODEVELOPMENTAL DISORDERS
142
JOURNAL OF NEUROLOGY
1009
LANCET NEUROLOGY
19
MULTIPLE SCLEROSIS JOURNAL
153
NATURE REVIEWS NEUROLOGY
392
NEUROGASTROENTEROLOGY AND MOTILITY
183
NEUROLOGY
2208
NEUROLOGY-NEUROIMMUNOLOGY & NEUROINFLAMMATION
323
NEUROSCIENTIST
20
PSYCHIATRY AND CLINICAL NEUROSCIENCES
59
SLEEP MEDICINE
0
THERAPEUTIC ADVANCES IN NEUROLOGICAL DISORDERS
57
ACTA NEUROLOGICA SCANDINAVICA
112
AMERICAN JOURNAL OF ALZHEIMERS DISEASE AND OTHER DEMENTIAS
25
ANNALS OF INDIAN ACADEMY OF NEUROLOGY
245
CEREBROVASCULAR DISEASES
223
CLINICAL EEG AND NEUROSCIENCE
53
CLINICAL JOURNAL OF PAIN
49
EPILEPSY & BEHAVIOR
0
EPILEPSY RESEARCH
0
EPILEPTIC DISORDERS
66
EUROPEAN NEUROLOGY
133
JOURNAL OF NEUROLOGIC PHYSICAL THERAPY
17
JOURNAL OF NEUROSURGICAL ANESTHESIOLOGY
67
JOURNAL OF PAIN RESEARCH
886
NEURODEGENERATIVE DISEASES
47
NEUROEPIDEMIOLOGY
113
NEUROLOGIST
33
OTOLOGY & NEUROTOLOGY
347
PEDIATRIC NEUROLOGY
1
SCHMERZ
98
SEMINARS IN PEDIATRIC NEUROLOGY
118
SPINE
57
STROKE AND VASCULAR NEUROLOGY
191
JOURNAL OF NEUROLOGICAL SURGERY PART A-CENTRAL EUROPEAN NEUROSURGERY
228
JOURNAL OF THE NEUROLOGICAL SCIENCES
51
MULTIPLE SCLEROSIS AND RELATED DISORDERS
1281
NEUROLOGIC CLINICS
81
NEUROMUSCULAR DISORDERS
32
SEMINARS IN NEUROLOGY
211
ZEITSCHRIFT FUR EPILEPTOLOGIE
83
TREMOR AND OTHER HYPERKINETIC MOVEMENTS
83
SOMNOLOGIE
57
AFRICAN JOURNAL OF NEUROLOGICAL SCIENCES
55
BRAIN CIRCULATION
91
BRITISH JOURNAL OF PAIN
35
CASE REPORTS IN NEUROLOGY
152
CLINICAL NEUROPSYCHIATRY
23
DEMENTIA AND GERIATRIC COGNITIVE DISORDERS EXTRA
46
EUROPEAN STROKE JOURNAL
45
INTERVENTIONAL NEUROLOGY
10
IRANIAN JOURNAL OF CHILD NEUROLOGY
159
JOURNAL OF NEUROLOGICAL SURGERY REPORTS
67
JOURNAL OF NEUROSCIENCES IN RURAL PRACTICE
156
JOURNAL OF PEDIATRIC NEUROPSYCHOLOGY
59
MOVEMENT DISORDERS CLINICAL PRACTICE
187
MULTIPLE SCLEROSIS JOURNAL-EXPERIMENTAL TRANSLATIONAL AND CLINICAL
57
NEUROHOSPITALIST
54
NEUROLOGY AND CLINICAL NEUROSCIENCE
69
NEUROLOGY INTERNATIONAL
3
NEUROLOGY-CLINICAL PRACTICE
236
NEURO-ONCOLOGY PRACTICE
24
NEUROGENETICS
112
CURRENT PAIN AND HEADACHE REPORTS
243
NEUROCRITICAL CARE
567
NEUROLOGICAL SCIENCES
1177
NEURORADIOLOGY
492
SLEEP AND BIOLOGICAL RHYTHMS
189
SCI Abstract
search
ALL
RECOMMENDED
+
Efficacy and Safety of Ciprofol Versus Propofol as Anesthetic for Patients Undergoing Painless Colonoscopy
Ciprofol is a novel propofol analogue with a characteristic of hemodynamic stability. At present, there is a lack of resea...
Pain And Therapy
comment
0
thumb_up
0
Safety of Co-Crystal of Tramadol-Celecoxib (CTC) in Patients with Acute Moderate-to-Severe Pain: Pooled Analysis of Three Phase 3 Randomized Trials
Multi-modal analgesia is desirable for the management of acute pain since it can provide effective pain relief at lower do...
Pain And Therapy
comment
0
thumb_up
0
Comparison of Oliceridine to Remifentanil for Optimal Analgesia in Mechanical Ventilation (CO-ROAM): Study Protocol for a Multicenter Randomized Controlled Trial
Critically ill patients often endure pain, a distressing experience that can trigger diverse pathophysiological consequenc...
Pain And Therapy
comment
0
thumb_up
0
Patients’ Experiences During the Long Journey Before Initiating Migraine Prevention with a Calcitonin Gene-Related Peptide (CGRP) Monoclonal Antibody (mAb)
Migraine is under-diagnosed and under-treated. Many people with migraine do not seek medical care, and those who do may in...
Pain And Therapy
comment
0
thumb_up
0
Clinical Efficacy of Auricular Vagus Nerve Stimulation in the Treatment of Chronic and Acute Pain: A Systematic Review and Meta-analysis
Current guidelines for pain treatment recommend a personalized, multimodal and interdisciplinary approach as well as the u...
Pain And Therapy
comment
0
thumb_up
0
An Additive Effect of Instrument-Assisted Soft Tissue Mobilization with Spinal Manipulation in Cervicogenic Headache: a Randomized Controlled Trial
There is a multitude of evidence supporting the use of manual and manipulative therapy techniques for patients with cervic...
Pain And Therapy
comment
0
thumb_up
0
Lumbar Sympathetic Block to Treat CRPS in an 18-Month-Old Girl: A Breaking Barriers Case Report and Review of Literature
Children under the age of 3 years have been diagnosed with complex regional pain syndrome (CRPS). They were found to be fu...
Pain And Therapy
comment
0
thumb_up
0
Preoperative Analgesia Efficacy of Liposomal Bupivacaine Following Pericapsular Nerve Group (PENG) Block in Patients with Hip Fracture: A Randomized Controlled Observer-Blinded Study
Single-injection pericapsular nerve group (PENG) block with ropivacaine provides clear analgesic effects in preoperative p...
Pain And Therapy
comment
0
thumb_up
0
A Decades-Long Journey of Palmitoylethanolamide (PEA) for Chronic Neuropathic Pain Management: A Comprehensive Narrative Review
Palmitoylethanolamide (PEA) has been prescribed in neuropathic pain management for over 20 years. This study aims...
Pain And Therapy
comment
0
thumb_up
0
The Global Burden of Migraine: A 30-Year Trend Review and Future Projections by Age, Sex, Country, and Region
Migraine is a prevalent neurological disorder causing significant disability worldwide. Despite extensive research on spec...
Pain And Therapy
comment
0
thumb_up
0
Ultrasound-Guided Thoracic Paravertebral Injection of Platelet-Rich Plasma for the Treatment of Thoracic Herpes Zoster-Related Pain: A Study Protocol
Herpes zoster (HZ), triggered by the reactivation of the varicella-zoster virus, manifests as a painful rash known as zost...
Pain And Therapy
comment
0
thumb_up
0
The Diagnosis and Management of Meralgia Paresthetica: A Narrative Review
Meralgia paresthetica (MP) is a sensory mononeuropathy affecting the lateral femoral cutaneous nerve. Diagnosis is typical...
Pain And Therapy
comment
0
thumb_up
0
Complementary Approaches to Postoperative Pain Management: A Review of Non-pharmacological Interventions
Postoperative pain significantly affects many surgical patients. While opioids are crucial for pain management, they come ...
Pain And Therapy
comment
0
thumb_up
0
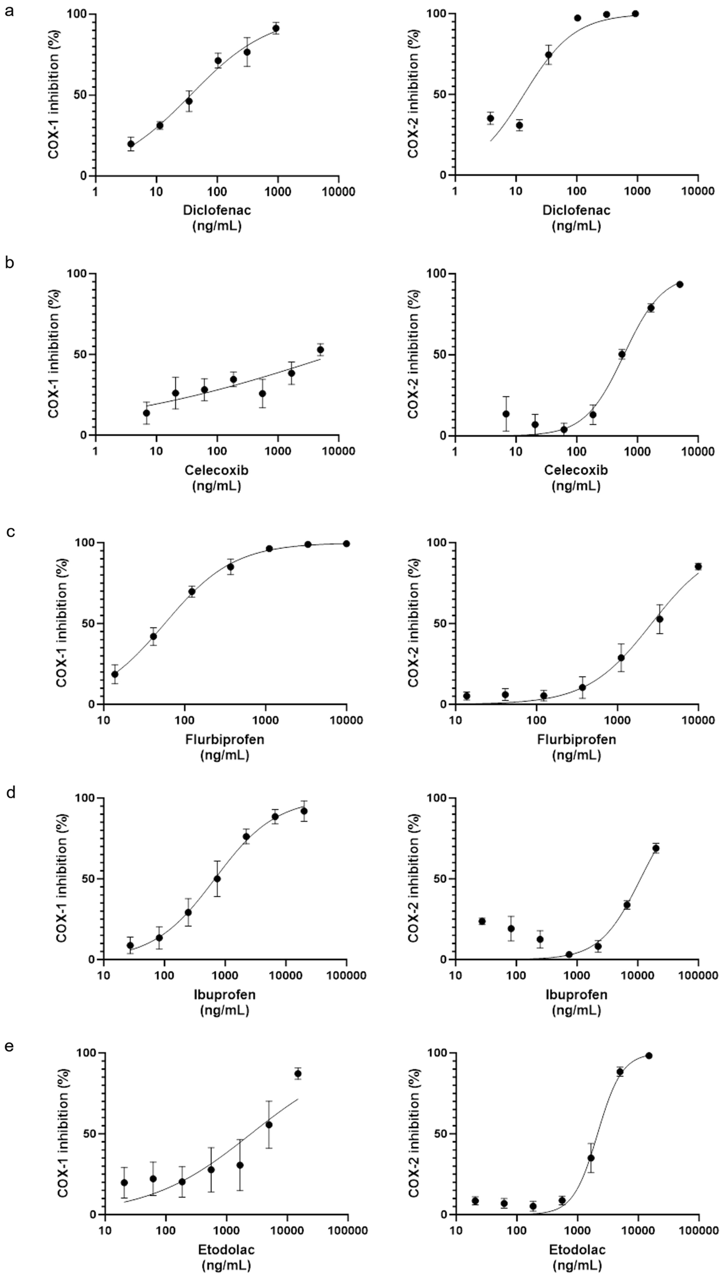
Comparative Evaluation of Cyclooxygenase Inhibition Profiles Across Various NSAID Forms and Doses: Implications for Efficacy and Adverse Effects
Nonsteroidal anti-inflammatory drugs (NSAIDs) are commonly used for pain disorders and exert pharmacological effects by in...
Pain And Therapy
comment
0
thumb_up
0
Intercostal Nerve Cryoablation During Lobectomy for Postsurgical Pain: A Safe and Cost-Effective Intervention
The cost benefit of intercostal nerve cryoablation during surgical lobectomy for postoperative pain management is unknown....
Pain And Therapy
comment
0
thumb_up
0
Endoscopic Epidurolysis for the Management of Chronic Spinal Pain: A Delphi-Based Italian Experts Consensus
Endoscopic epidurolysis (EE) is a minimally invasive procedure used to manage chronic spinal pain, particularly in cases u...
Pain And Therapy
comment
0
thumb_up
0
Potential Role of Focal Microvibration (Equistasi®) in the Management of Chronic Pain: A Pilot Study
Chronic pain is one of the leading causes of medical consultation with a dramatic psychophysical and socioeconomic impact....
Pain And Therapy
comment
0
thumb_up
0
Effect of CT-Guided Repeated Pulsed Radiofrequency on Controlling Acute/Subacute Zoster-Associated Pain: A Retrospective Cohort Study
Zoster-associated pain (ZAP) treatment and management is still inadequate. Repeated intervention protocol is often applied...
Pain And Therapy
comment
0
thumb_up
0
CT-Guided Radiofrequency Ablation Targeting the Herniation Edge of the Cervical Disc for the Treatment of Neck Pain: A Retrospective Study
Sinuvertebral nerve overactivation is one of the mechanisms of neck pain caused by cervical disc herniation. Radiofrequenc...
Pain And Therapy
comment
0
thumb_up
0
Whole-Body Electrostatic Pain Treatment in Adults with Chronic Pain: A Prospective Multicentric Observational Clinical Trial
In the treatment of patients with chronic pain, whole-body electrostatic therapy using the Elosan Cabin C1 has been propos...
Pain And Therapy
comment
0
thumb_up
0
Glycosaminoglycan Replacement Therapy with Intravesical Instillations of Combined Hyaluronic Acid and Chondroitin Sulfate in Patients with Recurrent Cystitis, Post-radiation Cystitis and Bladder Pain Syndrome: A Narrative Review
Defects in the glycosaminoglycan layer (GAG) of the bladder mucosa have been identified as a significant contributor to th...
Pain And Therapy
comment
0
thumb_up
0
Progress in Radiofrequency Therapy for Zoster-Associated Pain About Parameters, Modes, Targets, and Combined Therapy: A Narrative Review
Zoster-associated pain (ZAP) is a painful condition that significantly impacts a patient’s quality of life, often le...
Pain And Therapy
comment
0
thumb_up
0
Temporary Peripheral Nerve Stimulation as Treatment for Chronic Pain
Chronic pain is a growing problem across the world, and in the midst of an opioid epidemic, it is imperative that alternat...
Pain And Therapy
comment
0
thumb_up
0
Combined Efficacy of Systemically Acting Diclofenac Sodium Patch and Alpha-2-Delta Calcium Channel Ligand in Chronic Low Back Pain: Subanalysis of a Phase III Study
Chronic low back pain often comprises mixed pain types and involves multiple factors. Therefore, we hypothesized that the ...
Pain And Therapy
comment
0
thumb_up
0
Letter to the Editor Regarding ‘Deep Neuromuscular Block Attenuates Chronic Postsurgical Pain and Enhances Long-Term Postoperative Recovery After Spinal Surgery: A Randomized Controlled Trial’
With profound interest we read the article by Tang et al. published in the August iss...
Pain And Therapy
comment
0
thumb_up
0
“I’m Not the Same Person Anymore”: Thematic Analysis Exploring Experiences of Dependence to Prescribed Analgesics in Patients with Chronic Pain in the UK
The rising issue of dependence to prescribed pain medication for patients with chronic pain has been highlighted in the li...
Pain And Therapy
comment
0
thumb_up
0
A Response to: Letter to the Editor Regarding “Deep Neuromuscular Block Attenuates Chronic Postsurgical Pain and Enhances Long-Term Postoperative Recovery After Spinal Surgery: A Randomized Controlled Trial”
Conflict of Interest Yan Wu, Xihui Tang, Jie Guo, Qingsong Chen, Yu...
Pain And Therapy
comment
0
thumb_up
0
Do Electrical Stimulation Devices Reduce Pain and Improve Function?—A Comparative Review
Multiple forms of electrical stimulation (ES) potentially offer widely varying clinical benefits. Diminished function comm...
Pain And Therapy
comment
0
thumb_up
0
Arts Therapy and Its Implications in Chronic Pain Management: A Narrative Review
Chronic nonmalignant pain is recognized as a complex, dynamic, phenomenological interplay between biological, psychologica...
Pain And Therapy
comment
0
thumb_up
0
Promising Subjective and Objective Benefits of Modified Mindfulness-Based Stress Reduction Training for Chinese Adults with Chronic Pain: A Pilot Randomized Control Study
Mindfulness-based stress reduction (MBSR) has demonstrated its effectiveness in reducing pain-related stress in adults wit...
Pain And Therapy
comment
0
thumb_up
0
Load More
Modal title
×
Modal title
×
Share
Login
Global News and Health Forum
Join Now!
Member Login
Remember me
Forgot password?
Or using
Linkedin