×
Close
Login
Home
SCI Abstract
Library D
Community
Events
Events & Partner
WeMed
Media Partners
Educational Partner
User Tools
FAQ/USER GUIDE
Language
English
中文/ Chinese
Contact Us
×
Close
mdla_1
mdla_2
mdla_3
mdla_4
mdla_5
mdla_6
Categories
Peripheral Vascular Disease
4644
Global Medical University
4984
Allergy
1778
Anatomy & Morphology
1547
Andrology
414
Anesthesia & Intensive Care
1191
Anesthesiology
5409
Audiology & Speech-Language Pathology
333
Behavioral Sciences
104
Biochemical Research Methods
6773
Biochemistry & Molecular Biology
29193
Biodiversity Conservation
287
Biology
8218
Biophysics
8073
Biotechnology & Applied Microbiology
8124
Cardiac & Cardiovascular Systems
30613
Cardiovascular & Respiratory Systems
1372
Cell & Tissue Engineering
654
Cell Biology
10809
Chemistry, Analytical
4215
Chemistry, Applied
11000
Chemistry, Medicinal
8464
Chemistry, Multidisciplinary
18460
Clinical Immunology & Infectious Disease
425
Clinical Medicine
8743
Clinical Neurology
16225
Clinical Psychology & Psychiatry
1276
Critical Care Medicine
3123
Dentistry, Oral Surgery & Medicine
12879
Dermatology
7541
Developmental Biology
6887
Ecology
655
Education, Scientific Disciplines
1894
Emergency Medicine
3952
Endocrinology, Metabolism & Nutrition
23481
Engineering, Biomedical
3604
Entomology
432
Environmental Medicine & Public Health
4625
Evolutionary Biology
256
Gastroenterology & Hepatology
11803
General & Internal Medicine
6913
Genetics & Heredity
14689
Geriatrics & Gerontology
5009
Gerontology
334
Health Care Sciences & Services
15553
Health Policy & Services
601
Hematology
5452
Immunology
24612
Infectious Diseases
13606
Integrative & Complementary Medicine
2797
Medical Ethics
1138
Medical Informatics
2114
Medical Laboratory Technology
433
Medicine, General & Internal
44098
Medicine, Legal
479
Medicine, Research & Experimental
17396
Microbiology
22714
Mycology
0
Nanoscience & Nanotechnology
5003
Neuroimaging
1280
Neurology
4396
Neurosciences
38938
Nursing
9282
Nutrition & Dietetics
7771
Obstetrics & Gynecology
8032
Oncology
51417
Ophthalmology
9448
Optics
4041
Orthopedics
11319
Orthopedics, Rehabilitation & Sports Medicine
1713
Otolaryngology
1494
Otorhinolaryngology
4785
Parasitology
1033
Pathology
4837
Pediatrics
21020
Pharmacology & Pharmacy
33932
Pharmacology/Toxicology
12014
Physiology
8866
Polymer Science
539
Primary Health Care
794
Psychiatry
18811
Psychology
5057
Psychology, Applied
91
Psychology, Biological
316
Psychology, Clinical
784
Psychology, Developmental
235
Psychology, Educational
132
Psychology, Experimental
123
Psychology, Mathematical
0
Psychology, Multidisciplinary
1579
Psychology, Psychoanalysis
41
Psychology, Social
114
Public Health & Health Care Science
2205
Public, Environmental & Occupational Health
26934
Quantum Science & Technology
0
Radiology, Nuclear Medicine & Imaging
12009
Radiology, Nuclear Medicine & Medical Imaging
7764
Rehabilitation
2951
Remote Sensing
0
Reproductive Biology
2732
Reproductive Medicine
1164
Research/Laboratory Medicine & Medical Technology
3854
Respiratory System
7094
Rheumatology
5683
Social Sciences, Biomedical
1178
Substance Abuse
2656
Surgery
33130
Toxicology
4204
Transplantation
939
Tropical Medicine
314
Urology & Nephrology
12700
Veterinary Sciences
35
Virology
2371
Zoology
0
Channels
JOURNAL OF HUMAN HYPERTENSION
320
Arteriosclerosis, Thrombosis, and Vascular Biology
211
AMERICAN JOURNAL OF PHYSIOLOGY-HEART AND CIRCULATORY PHYSIOLOGY
418
ANGIOGENESIS
114
ARTERIOSCLEROSIS THROMBOSIS AND VASCULAR BIOLOGY
100
CURRENT ATHEROSCLEROSIS REPORTS
254
CURRENT HYPERTENSION REPORTS
158
CURRENT OPINION IN NEPHROLOGY AND HYPERTENSION
205
HYPERTENSION RESEARCH
785
JOURNAL OF HYPERTENSION
305
SHOCK
47
THROMBOSIS AND HAEMOSTASIS
455
ANGIOLOGY
88
BLOOD PRESSURE MONITORING
46
JOURNAL OF CLINICAL HYPERTENSION
142
JOURNAL OF THE RENIN-ANGIOTENSIN-ALDOSTERONE SYSTEM
8
MICROVASCULAR RESEARCH
0
THROMBOSIS JOURNAL
266
JOURNAL OF VASCULAR SURGERY-VENOUS AND LYMPHATIC DISORDERS
36
PREGNANCY HYPERTENSION-AN INTERNATIONAL JOURNAL OF WOMENS CARDIOVASCULAR HEALTH
249
CEREBROVASCULAR DISEASES EXTRA
48
CURRENT HYPERTENSION REVIEWS
30
HIGH BLOOD PRESSURE & CARDIOVASCULAR PREVENTION
171
INTERNATIONAL JOURNAL OF ANGIOLOGY
160
PULSE
28
SCI Abstract
search
ALL
RECOMMENDED
+
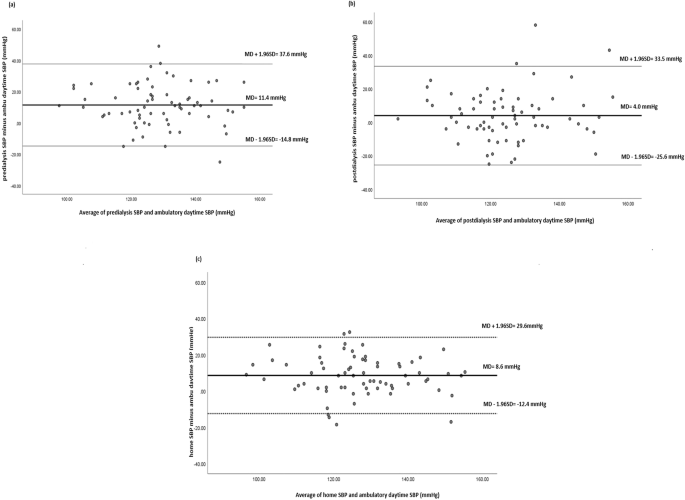
Home versus routine dialysis-unit blood pressure recordings among patients on hemodialysis
The optimal method for the diagnosis of hypertension among patients on hemodialysis remains a controversial issue. Using 4...
Journal Of Human Hypertension
comment
0
thumb_up
0
PERSPECTIVE – The Growing Global Benefits of Limiting Salt Intake: an urgent call from the World Hypertension League for more effective policy and public health initiatives
Intersalt Cooperative Research Group. Intersalt: an International Study of Electrolyte Excretion And Blood Pressure. Resul...
Journal Of Human Hypertension
comment
0
thumb_up
0
Population-based surveillance for hypertension awareness, treatment, and control in nine districts - India Hypertension Control Initiative, 2018–19
Hypertension control is the crucial indicator for cardiovascular disease programs. We conducted a baseline cross-sectional...
Journal Of Human Hypertension
comment
0
thumb_up
0
Correlation between different types of obesity and hypertension in perimenopausal working women
Hypertension (HTN) can lead to a series of target organ damage and is associated with increased cardiovascular disease inc...
Journal Of Human Hypertension
comment
0
thumb_up
0
sFlt-1/PlGF ratio combined with endocan-1 serum levels improves the predictive values for the occurrence and prognosis of preeclampsia in a single centre study
This retrospective study evaluated diagnostic and prognostic values of sFlt-1/PlGF ratio combined with serum endocan-1 for...
Journal Of Human Hypertension
comment
0
thumb_up
0
Ambulatory blood pressure monitoring before and after resection of catecholamine-secreting pheochromocytoma or paraganglioma
Pheochromocytomas/paragangliomas are catecholamine-secreting tumors that are a rare cause of hypertension and associated w...
Journal Of Human Hypertension
comment
0
thumb_up
0
Close relationship between electrocardiogram QRS duration and the risk of developing hypertension
Electrocardiogram QRS duration is associated with cardiovascular events and all-cause death. The present study was conduct...
Journal Of Human Hypertension
comment
0
thumb_up
0
Association between antihypertensive drug use and the risk of depression: a systematic review and network meta-analysis
Hypertension is the biggest and most prevalent risk factor for cardiovascular diseases. Depression is the most common psyc...
Journal Of Human Hypertension
comment
0
thumb_up
0
Emerging Authors Program for building cardiovascular disease prevention and management research capacity in low- and middle-income countries: a collaboration of the U.S. Centers for Disease Control and Prevention, the Lancet Commission on Hypertension Group, Resolve to Save Lives, and the World Hypertension League
Lancet Commission on Hypertension Group, London, UKDinesh Neupane, Christian Delles, James E. Sharman & Michael H. Ols...
Journal Of Human Hypertension
comment
0
thumb_up
0
Prevalence and determinants of hypertension in South-Asian Urban Communities: findings from Demographic and Health Surveys (DHS) data of South Asian countries
Hypertension increases risk of stroke and other cardiovascular diseases, however, its prevalence and determinants in South...
Journal Of Human Hypertension
comment
0
thumb_up
0
The relationship between anthropometric indices and the presence of hypertension in an Iranian population sample using data mining algorithms
Hypertension (HTN) is a common chronic condition associated with increased morbidity and mortality. Anthropometric indices...
Journal Of Human Hypertension
comment
0
thumb_up
0
Effect of exercise training on the renin–angiotensin–aldosterone system: a meta–analysis
Blood pressure (BP) management reduces the risk of cardiovascular disease (CVD). The renin–angiotensin–aldoste...
Journal Of Human Hypertension
comment
0
thumb_up
0
Influence of blood pressure polygenic risk scores and environmental factors on coronary artery disease in the Korean Genome and Epidemiology Study
The present study aimed to investigate the association of blood pressure polygenic risk scores (BP PRSs) with coronary art...
Journal Of Human Hypertension
comment
0
thumb_up
0
Prevalence and associated factors of undiagnosed hypertension among women aged 15–49 years in India: an analysis of National Family Health Survey-4 data
Hypertension is a major risk factor for cardiovascular diseases globally. Fortunately, there is a vast armamentarium of ef...
Journal Of Human Hypertension
comment
0
thumb_up
0
Variability in home blood pressure and its association with renal function and pulse pressure in patients with treated hypertension in primary care
Blood pressure variability (BPV) represents a cardiovascular risk factor, regardless of mean level of blood pressure (BP)....
Journal Of Human Hypertension
comment
0
thumb_up
0
Improving the accuracy of blood pressure measuring devices in Australia: a modelled return on investment study
The VALID BP project was initiated to increase the availability of validated blood pressure measuring devices (BPMDs). The...
Journal Of Human Hypertension
comment
0
thumb_up
0
Diagnosis and management of primary hyperaldosteronism in patients with hypertension: a practical approach endorsed by the British and Irish Hypertension Society
Alongside the lack of homogeneity among international guidelines and consensus documents on primary hyperaldosteronism, th...
Journal Of Human Hypertension
comment
0
thumb_up
0
Knowledge and practices related to salt consumption in China: findings from a national representative cross-sectional survey
There is limited information on the knowledge and practice of salt-reduction in China. The purpose of this study was to de...
Journal Of Human Hypertension
comment
0
thumb_up
0
High prevalence but lack of awareness of hypertension in South Africa, particularly among men and young adults
Cardiovascular disease (CVD) is a leading cause of death in South Africa (SA) and high blood pressure (BP) is the primary ...
Journal Of Human Hypertension
comment
0
thumb_up
0
A single session of aerobic exercise reduces systolic blood pressure at rest and in response to stress in women with rheumatoid arthritis and hypertension
Rheumatoid arthritis (RA) is an autoimmune inflammatory disease characterized by increased risk of cardiovascular disease ...
Journal Of Human Hypertension
comment
0
thumb_up
0
Impaired artery elasticity predicts cardiovascular morbidity and mortality- A longitudinal study in the Vara-Skövde Cohort
It is still debated whether arterial elasticity provides prognostic information for cardiovascular risk beyond blood press...
Journal Of Human Hypertension
comment
0
thumb_up
0
Prescribing the optimal dialysate sodium concentration for managing hypertension and volume overload in hemodialysis: one size does not fit to all patients
Agarwal R. Hypervolemia is associated with increased mortality among hemodialysis patients. Hypertension. 2010;56:512–7.Ar...
Journal Of Human Hypertension
comment
0
thumb_up
0
Exploration of patients’ practices related to home blood pressure monitoring
Despite guidelines and calls to action for home blood pressure monitoring (HBPM) from organizations including the American...
Journal Of Human Hypertension
comment
0
thumb_up
0
High versus low measurement frequency during 24-h ambulatory blood pressure monitoring - a randomized crossover study
Ambulatory blood pressure monitoring (ABPM) may be stressful and associated with discomfort, possibly influenced by the nu...
Journal Of Human Hypertension
comment
0
thumb_up
0
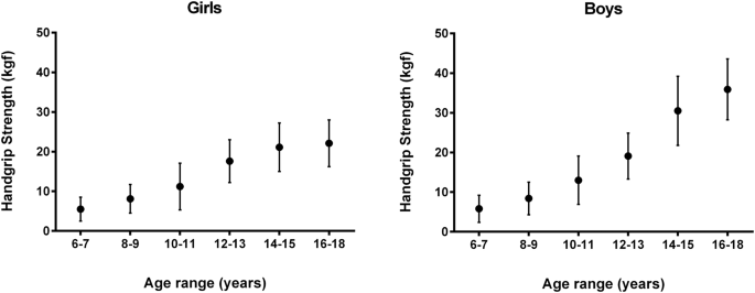
Role of muscle mass in the association between handgrip strength and blood pressure in children and adolescents
Studies have reported conflicting results on the association between handgrip strength (HGS) and blood pressure during chi...
Journal Of Human Hypertension
comment
0
thumb_up
0
Maternal smoking during pregnancy links to childhood blood pressure through birth weight and body mass index: NHANES 1999–2018
Maternal smoking during pregnancy (MSDP) is associated with lower birth weight, childhood obesity, and elevated blood pres...
Journal Of Human Hypertension
comment
0
thumb_up
0
Emeritus Professor Richard D. Gordon AO, MD, PhD, FRACP 3/1/1934–4/7/2023
It is with great sadness that we farewell Richard D. Gordon, an Australian pioneer of endocrinology and h...
Journal Of Human Hypertension
comment
0
thumb_up
0
Associations of body roundness index with cardiovascular and all-cause mortality: NHANES 2001–2018
Body roundness index (BRI) was associated with cardiovascular diseases. But the relationship between BRI with cardiovascul...
Journal Of Human Hypertension
comment
0
thumb_up
0
Grip strength positively correlates with blood pressure in individuals with abnormal adiposity
Although strong positive correlations exist between grip strength and cardiovascular health, the association between grip ...
Journal Of Human Hypertension
comment
0
thumb_up
0
Correction: Placental syndromes and long-term risk of hypertension
Open Access This article is licensed under a Creative Commons Attribution 4.0 International License, which...
Journal Of Human Hypertension
comment
0
thumb_up
0
Load More
Modal title
×
Modal title
×
Share
Login
Global News and Health Forum
Join Now!
Member Login
Remember me
Forgot password?
Or using
Linkedin