×
Close
Login
Home
SCI Abstract
Library D
Community
Events
Events & Partner
WeMed
Media Partners
Educational Partner
User Tools
FAQ/USER GUIDE
Language
English
中文/ Chinese
Contact Us
×
Close
mdla_1
mdla_2
mdla_3
mdla_4
mdla_5
mdla_6
Categories
Peripheral Vascular Disease
4644
Global Medical University
4984
Allergy
1778
Anatomy & Morphology
1547
Andrology
414
Anesthesia & Intensive Care
1191
Anesthesiology
5409
Audiology & Speech-Language Pathology
333
Behavioral Sciences
104
Biochemical Research Methods
6773
Biochemistry & Molecular Biology
29193
Biodiversity Conservation
287
Biology
8218
Biophysics
8073
Biotechnology & Applied Microbiology
8124
Cardiac & Cardiovascular Systems
30613
Cardiovascular & Respiratory Systems
1372
Cell & Tissue Engineering
654
Cell Biology
10809
Chemistry, Analytical
4215
Chemistry, Applied
11000
Chemistry, Medicinal
8464
Chemistry, Multidisciplinary
18460
Clinical Immunology & Infectious Disease
425
Clinical Medicine
8743
Clinical Neurology
16225
Clinical Psychology & Psychiatry
1276
Critical Care Medicine
3123
Dentistry, Oral Surgery & Medicine
12879
Dermatology
7541
Developmental Biology
6887
Ecology
655
Education, Scientific Disciplines
1894
Emergency Medicine
3952
Endocrinology, Metabolism & Nutrition
23481
Engineering, Biomedical
3604
Entomology
432
Environmental Medicine & Public Health
4625
Evolutionary Biology
256
Gastroenterology & Hepatology
11803
General & Internal Medicine
6913
Genetics & Heredity
14689
Geriatrics & Gerontology
5009
Gerontology
334
Health Care Sciences & Services
15553
Health Policy & Services
601
Hematology
5452
Immunology
24612
Infectious Diseases
13606
Integrative & Complementary Medicine
2797
Medical Ethics
1138
Medical Informatics
2114
Medical Laboratory Technology
433
Medicine, General & Internal
44098
Medicine, Legal
479
Medicine, Research & Experimental
17396
Microbiology
22714
Mycology
0
Nanoscience & Nanotechnology
5003
Neuroimaging
1280
Neurology
4396
Neurosciences
38938
Nursing
9282
Nutrition & Dietetics
7771
Obstetrics & Gynecology
8032
Oncology
51417
Ophthalmology
9448
Optics
4041
Orthopedics
11319
Orthopedics, Rehabilitation & Sports Medicine
1713
Otolaryngology
1494
Otorhinolaryngology
4785
Parasitology
1033
Pathology
4837
Pediatrics
21020
Pharmacology & Pharmacy
33932
Pharmacology/Toxicology
12014
Physiology
8866
Polymer Science
539
Primary Health Care
794
Psychiatry
18811
Psychology
5057
Psychology, Applied
91
Psychology, Biological
316
Psychology, Clinical
784
Psychology, Developmental
235
Psychology, Educational
132
Psychology, Experimental
123
Psychology, Mathematical
0
Psychology, Multidisciplinary
1579
Psychology, Psychoanalysis
41
Psychology, Social
114
Public Health & Health Care Science
2205
Public, Environmental & Occupational Health
26934
Quantum Science & Technology
0
Radiology, Nuclear Medicine & Imaging
12009
Radiology, Nuclear Medicine & Medical Imaging
7764
Rehabilitation
2951
Remote Sensing
0
Reproductive Biology
2732
Reproductive Medicine
1164
Research/Laboratory Medicine & Medical Technology
3854
Respiratory System
7094
Rheumatology
5683
Social Sciences, Biomedical
1178
Substance Abuse
2656
Surgery
33130
Toxicology
4204
Transplantation
939
Tropical Medicine
314
Urology & Nephrology
12700
Veterinary Sciences
35
Virology
2371
Zoology
0
Channels
HIGH BLOOD PRESSURE & CARDIOVASCULAR PREVENTION
171
Arteriosclerosis, Thrombosis, and Vascular Biology
211
AMERICAN JOURNAL OF PHYSIOLOGY-HEART AND CIRCULATORY PHYSIOLOGY
418
ANGIOGENESIS
114
ARTERIOSCLEROSIS THROMBOSIS AND VASCULAR BIOLOGY
100
CURRENT ATHEROSCLEROSIS REPORTS
254
CURRENT HYPERTENSION REPORTS
158
CURRENT OPINION IN NEPHROLOGY AND HYPERTENSION
205
HYPERTENSION RESEARCH
785
JOURNAL OF HYPERTENSION
305
SHOCK
47
THROMBOSIS AND HAEMOSTASIS
455
ANGIOLOGY
88
BLOOD PRESSURE MONITORING
46
JOURNAL OF CLINICAL HYPERTENSION
142
JOURNAL OF HUMAN HYPERTENSION
320
JOURNAL OF THE RENIN-ANGIOTENSIN-ALDOSTERONE SYSTEM
8
MICROVASCULAR RESEARCH
0
THROMBOSIS JOURNAL
266
JOURNAL OF VASCULAR SURGERY-VENOUS AND LYMPHATIC DISORDERS
36
PREGNANCY HYPERTENSION-AN INTERNATIONAL JOURNAL OF WOMENS CARDIOVASCULAR HEALTH
249
CEREBROVASCULAR DISEASES EXTRA
48
CURRENT HYPERTENSION REVIEWS
30
INTERNATIONAL JOURNAL OF ANGIOLOGY
160
PULSE
28
SCI Abstract
search
ALL
RECOMMENDED
+
Prolonged Time-to-antihypertensive Therapy Worsens Organ Damage and Blood Pressure Control in Arterial Hypertension
Delay in arterial hypertension (AH) diagnosis and late therapy initiation may affect progression towards hypertensive-medi...
High Blood Pressure & Cardiovascular Prevention
comment
0
thumb_up
0
Efficacy and Safety of Ultrasound Renal Denervation on Office Blood Pressure of Patients with Resistant Arterial Hypertension: A Systematic Review and Meta-analysis
Resistant arterial hypertension (RAH) is one of the main causes of increased cardiovascular risk around the world. The ben...
High Blood Pressure & Cardiovascular Prevention
comment
0
thumb_up
0
Effect of Phytosterols on Serum Levels of C-Reactive Protein: A Time- and Dose-Response Meta-analysis of Randomized Controlled Trial
Phytosterols are recognized for their cholesterol-reducing effects and are commonly used as dietary supplements or added t...
High Blood Pressure & Cardiovascular Prevention
comment
0
thumb_up
0
Evaluation of the Human Placental Microbiota in Early- and Late-Onset Pre-Eclampsia
Despite many decades of research, the exact etiology of pre-eclampsia (PE) remains unknown. Several etiopathologies have b...
High Blood Pressure & Cardiovascular Prevention
comment
0
thumb_up
0
PCSK9 Inhibitors: Is the Time Ripe for the “Fast Track” Use Independently on the LDL-C Baseline Values in Acute Coronary Syndrome?
The low-density lipoprotein cholesterol (LDL-C) lowering decreases the risk to develop major adverse cardiovascular events...
High Blood Pressure & Cardiovascular Prevention
comment
0
thumb_up
0
Screening for Atrial Fibrillation During Routine Automated Blood Pressure Measurement in General Population Aged 65 Years and Above: EMENO National Epidemiological Survey in Greece
Atrial fibrillation (AF) is common with advanced aging and is often asymptomatic and undiagnosed. A blood pressure (BP) mo...
High Blood Pressure & Cardiovascular Prevention
comment
0
thumb_up
0
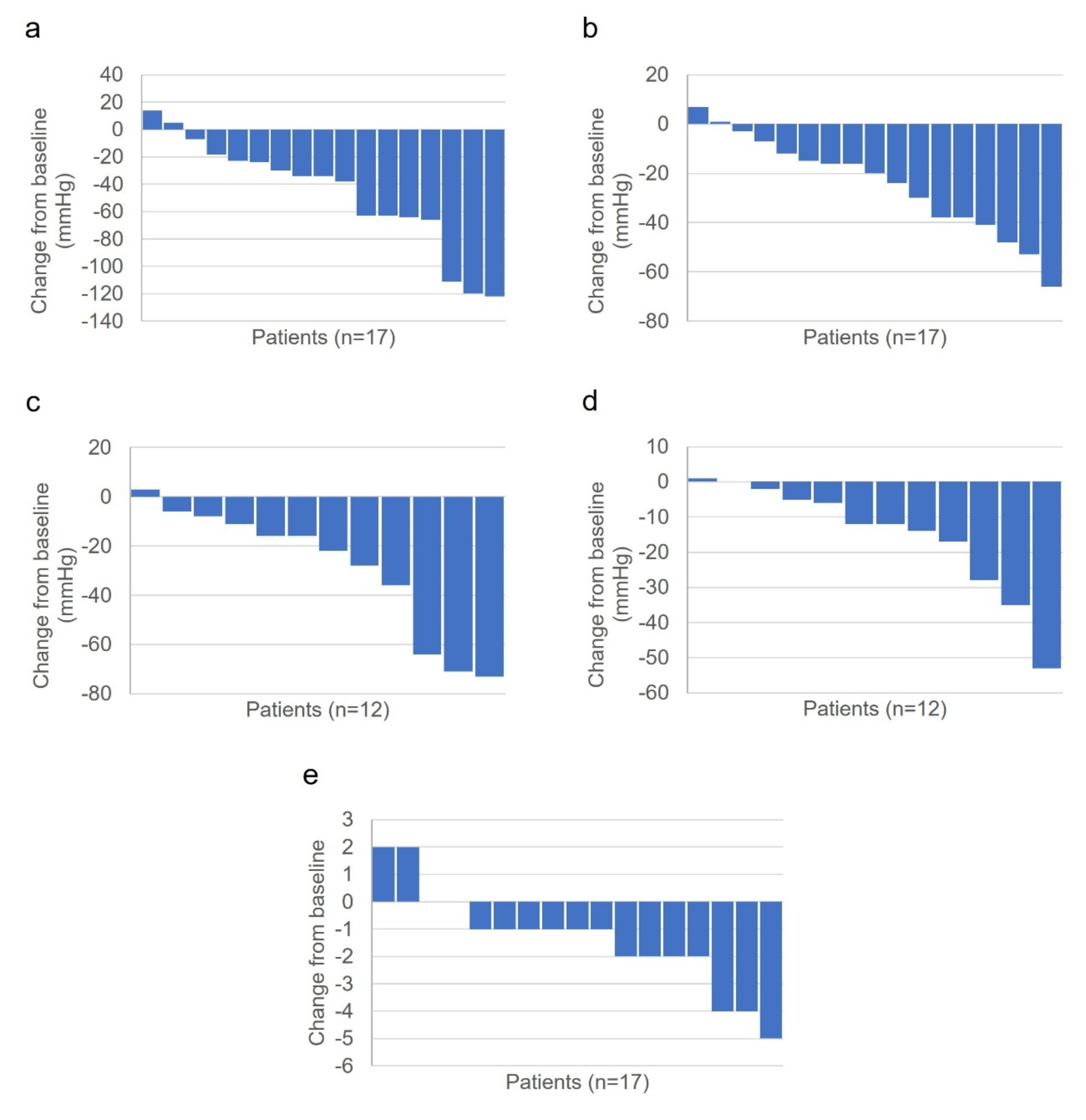
Blood Pressure Control and Clinical Outcomes After Renal Denervation Through Irrigated Catheter Radiofrequency Ablation in Patients with Resistant Hypertension: A Case Series with Up to 10 Years of Follow-Up
The long-term efficacy of renal denervation (RDN) has not been extensively documented. To describe the long-term follow-up...
High Blood Pressure & Cardiovascular Prevention
comment
0
thumb_up
0
Systematic Review and Meta-Analysis of Second-Generation Sham-Controlled Randomized Trials of Renal Denervation Therapy for Patients with Hypertension
Renal denervation has been associated with substantial and sustained blood pressure reduction and is considered to serve a...
High Blood Pressure & Cardiovascular Prevention
comment
0
thumb_up
0
Olezarsen and Plozasiran in Dyslipidemia Management: A Narrative Review of Clinical Trials
Cardiovascular diseases are a worldwide known cause of mortality, often due to dyslipidemia and other modifiable and non-m...
High Blood Pressure & Cardiovascular Prevention
comment
0
thumb_up
0
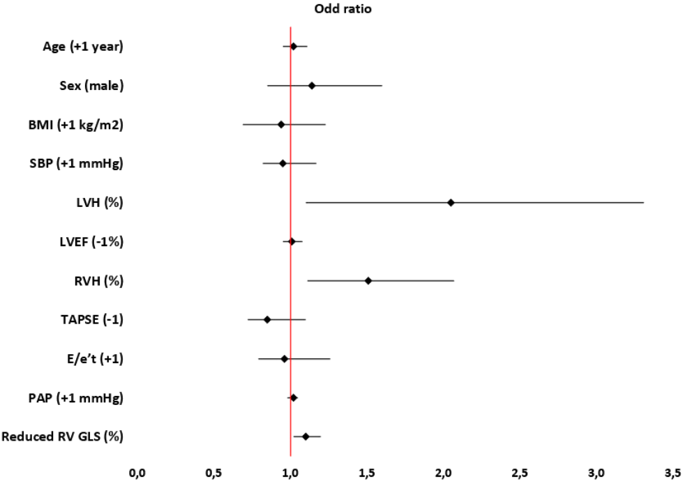
The Relationship Between Right Ventricular Longitudinal Strain and Adverse Outcome in Hypertensive Patients: 10-year Follow-up
Previous studies showed the importance of right ventricular (RV) remodeling in patients with arterial hypertension and RV ...
High Blood Pressure & Cardiovascular Prevention
comment
0
thumb_up
0
Antihypertensive Medication Category Prescriptions and Blood Pressure Control in African Surinamese and Ghanaian Migrants with Hypertension in Amsterdam, The Netherlands: The HELIUS Study
West African (WA) migrants in Europe have higher hypertension rates than the host populations. For African migrants, guide...
High Blood Pressure & Cardiovascular Prevention
comment
0
thumb_up
0
Juxtaposing Hypertension Guidelines: Are They Different? A Pragmatic Look to ESC and ESH Guidelines on (Arterial) Hypertension
Hypertension is a major public health challenge as its prevalence continues to increa...
High Blood Pressure & Cardiovascular Prevention
comment
0
thumb_up
0
Triple Therapy with Telmisartan, Amlodipine, and Rosuvastatin (TAR) Versus Telmisartan/Amlodipine (TA) and Telmisartan/Rosuvastatin (TR) Combinations in Hypertension and Dyslipidemia: A Systematic Review and Meta-analysis
Hypertension and dyslipidemia are common contributors to cardiovascular disease (CVD), often occurring together. Effective...
High Blood Pressure & Cardiovascular Prevention
comment
0
thumb_up
0
Renal Denervation as a Novel Therapeutic Approach for Resistant Hypertension: Mechanisms, Efficacy and Future Directions
Resistant hypertension is a state characterized by sustained hypertension despite adherence to the standard pharmacologica...
High Blood Pressure & Cardiovascular Prevention
comment
0
thumb_up
0
The Association between Serum Lipid Profile Levels and Hypertension Grades: A Cross-Sectional Study at a Health Examination Center
Hypertension and dyslipidemia are major cardiovascular risk factors that often coexist. Hyperlipidemia is a crucial modifi...
High Blood Pressure & Cardiovascular Prevention
comment
0
thumb_up
0
Prescriptive Appropriateness in an Outpatient Primary and Secondary Cardiovascular Prevention Service
In the absence of appropriateness specific guidelines, one important cause of health resources waste could be overuse of d...
High Blood Pressure & Cardiovascular Prevention
comment
0
thumb_up
0
Independent Association of Individual Lipid Abnormalities with Cardiovascular All-cause Mortality: A Prospective Cohort Study
Abnormalities in total cholesterol (TC), low-density lipoprotein cholesterol (LDL-C), high-density lipoprotein cholesterol...
High Blood Pressure & Cardiovascular Prevention
comment
0
thumb_up
0
The Emerging Role of Prediabetes and Its Management: Focus on l-Arginine and a Survey in Clinical Practice
The worldwide impressive growth of metabolic disorders observed in the last decades, especially type 2 diabetes mellitus a...
High Blood Pressure & Cardiovascular Prevention
comment
0
thumb_up
0
The Environmental Pollution and Cardiovascular Risk: The Role of Health Surveillance and Legislative Interventions in Cardiovascular Prevention
Environmental pollution in considered an established determinant of non-communicable illness, including cardiovascular dis...
High Blood Pressure & Cardiovascular Prevention
comment
0
thumb_up
0
Efficacy of Allopurinol in Improving Endothelial Dysfunction: A Systematic Review and Meta-Analysis
Endothelial dysfunction has been implicated in various cardiovascular disorders as the initial pathology. Allopurinol has ...
High Blood Pressure & Cardiovascular Prevention
comment
0
thumb_up
0
Beyond Glucose: The Dual Assault of Oxidative and ER Stress in Diabetic Disorders
Diabetes mellitus, a prevalent global health concern, is characterized by hyperglycemia. However, recent research reveals ...
High Blood Pressure & Cardiovascular Prevention
comment
0
thumb_up
0
Secondary Prevention and Extreme Cardiovascular Risk Evaluation (SEVERE-1), Focus on Prevalence and Associated Risk Factors: The Study Protocol
Despite significant improvement in secondary CardioVascular (CV) preventive strategies, some acute and chronic coronary sy...
High Blood Pressure & Cardiovascular Prevention
comment
0
thumb_up
0
Echocardiographic Phenotypes of Subclinical Organ Damage: Clinical and Prognostic Value in the General Population. Findings from the Pamela Study
Subclinical alterations in cardiac structure and function include a variety of abnormal phenotypes of established adverse ...
High Blood Pressure & Cardiovascular Prevention
comment
0
thumb_up
0
Sacubitril/Valsartan in Heart Failure with Hypertension Patients: Real-World Experiences on Different Ages, Drug Doses, and Renal Functions
Hypertension is a significant risk factor in heart failure for worldwide patients. More than half of hypertensive patients...
High Blood Pressure & Cardiovascular Prevention
comment
0
thumb_up
0
Resistant Hypertension and Related Outcomes in a Cohort of Patients with Cardiorenal Multimorbidity Hospitalized in an Internal Medicine Ward
Resistant hypertension (RH) is characterized by the failure to reach a goal blood pressure despite the administration of t...
High Blood Pressure & Cardiovascular Prevention
comment
0
thumb_up
0
First Trimester CD93 as a Novel Marker of Preeclampsia and Its Complications: A Pilot Study
CD93 plays a crucial role in endothelial homeostasis and angiogenesis. Recently its role in hypertension has been investig...
High Blood Pressure & Cardiovascular Prevention
comment
0
thumb_up
0
2023 National Congress of the Italian Society of Hypertension (SIIA)
Share this articleAnyone you share the following link with will be able to read this content:Get shareable linkSorry, a sh...
High Blood Pressure & Cardiovascular Prevention
comment
0
thumb_up
0
Cardiovascular Risk Assessment and Control in Outpatients Evaluated by 24-hour Ambulatory Blood Pressure and Different LDL-C Equations
Office blood pressure (OBP) and low-density lipoprotein cholesterol (LDL-C) calculated by the Friedewald formula (F) are t...
High Blood Pressure & Cardiovascular Prevention
comment
0
thumb_up
0
Psychometric Properties of a Brief Version of the Perception of Risk of Heart Disease Scale in an Italian Sample
The number of Italian citizens unaware of their risk of cardiovascular disease it is still very high. This study aimed to ...
High Blood Pressure & Cardiovascular Prevention
comment
0
thumb_up
0
The Results of the URRAH (Uric Acid Right for Heart Health) Project: A Focus on Hyperuricemia in Relation to Cardiovascular and Kidney Disease and its Role in Metabolic Dysregulation
The relationship between Serum Uric Acid (UA) and Cardiovascular (CV) diseases has already been extensively evaluated, and...
High Blood Pressure & Cardiovascular Prevention
comment
0
thumb_up
0
Load More
Modal title
×
Modal title
×
Share
Login
Global News and Health Forum
Join Now!
Member Login
Remember me
Forgot password?
Or using
Linkedin