×
Close
Login
Home
SCI Abstract
Library D
Community
Events
Events & Partner
WeMed
Media Partners
Educational Partner
User Tools
FAQ/USER GUIDE
Language
English
中文/ Chinese
Contact Us
×
Close
mdla_1
mdla_2
mdla_3
mdla_4
mdla_5
mdla_6
Categories
Peripheral Vascular Disease
4644
Global Medical University
4984
Allergy
1778
Anatomy & Morphology
1547
Andrology
414
Anesthesia & Intensive Care
1191
Anesthesiology
5409
Audiology & Speech-Language Pathology
333
Behavioral Sciences
104
Biochemical Research Methods
6773
Biochemistry & Molecular Biology
29193
Biodiversity Conservation
287
Biology
8218
Biophysics
8073
Biotechnology & Applied Microbiology
8124
Cardiac & Cardiovascular Systems
30613
Cardiovascular & Respiratory Systems
1372
Cell & Tissue Engineering
654
Cell Biology
10809
Chemistry, Analytical
4215
Chemistry, Applied
11000
Chemistry, Medicinal
8464
Chemistry, Multidisciplinary
18460
Clinical Immunology & Infectious Disease
425
Clinical Medicine
8743
Clinical Neurology
16225
Clinical Psychology & Psychiatry
1276
Critical Care Medicine
3123
Dentistry, Oral Surgery & Medicine
12879
Dermatology
7541
Developmental Biology
6887
Ecology
655
Education, Scientific Disciplines
1894
Emergency Medicine
3952
Endocrinology, Metabolism & Nutrition
23481
Engineering, Biomedical
3604
Entomology
432
Environmental Medicine & Public Health
4625
Evolutionary Biology
256
Gastroenterology & Hepatology
11803
General & Internal Medicine
6913
Genetics & Heredity
14689
Geriatrics & Gerontology
5009
Gerontology
334
Health Care Sciences & Services
15553
Health Policy & Services
601
Hematology
5452
Immunology
24612
Infectious Diseases
13606
Integrative & Complementary Medicine
2797
Medical Ethics
1138
Medical Informatics
2114
Medical Laboratory Technology
433
Medicine, General & Internal
44098
Medicine, Legal
479
Medicine, Research & Experimental
17396
Microbiology
22714
Mycology
0
Nanoscience & Nanotechnology
5003
Neuroimaging
1280
Neurology
4396
Neurosciences
38938
Nursing
9282
Nutrition & Dietetics
7771
Obstetrics & Gynecology
8032
Oncology
51417
Ophthalmology
9448
Optics
4041
Orthopedics
11319
Orthopedics, Rehabilitation & Sports Medicine
1713
Otolaryngology
1494
Otorhinolaryngology
4785
Parasitology
1033
Pathology
4837
Pediatrics
21020
Pharmacology & Pharmacy
33932
Pharmacology/Toxicology
12014
Physiology
8866
Polymer Science
539
Primary Health Care
794
Psychiatry
18811
Psychology
5057
Psychology, Applied
91
Psychology, Biological
316
Psychology, Clinical
784
Psychology, Developmental
235
Psychology, Educational
132
Psychology, Experimental
123
Psychology, Mathematical
0
Psychology, Multidisciplinary
1579
Psychology, Psychoanalysis
41
Psychology, Social
114
Public Health & Health Care Science
2205
Public, Environmental & Occupational Health
26934
Quantum Science & Technology
0
Radiology, Nuclear Medicine & Imaging
12009
Radiology, Nuclear Medicine & Medical Imaging
7764
Rehabilitation
2951
Remote Sensing
0
Reproductive Biology
2732
Reproductive Medicine
1164
Research/Laboratory Medicine & Medical Technology
3854
Respiratory System
7094
Rheumatology
5683
Social Sciences, Biomedical
1178
Substance Abuse
2656
Surgery
33130
Toxicology
4204
Transplantation
939
Tropical Medicine
314
Urology & Nephrology
12700
Veterinary Sciences
35
Virology
2371
Zoology
0
Channels
BLOOD PRESSURE MONITORING
46
Arteriosclerosis, Thrombosis, and Vascular Biology
211
AMERICAN JOURNAL OF PHYSIOLOGY-HEART AND CIRCULATORY PHYSIOLOGY
418
ANGIOGENESIS
114
ARTERIOSCLEROSIS THROMBOSIS AND VASCULAR BIOLOGY
100
CURRENT ATHEROSCLEROSIS REPORTS
254
CURRENT HYPERTENSION REPORTS
158
CURRENT OPINION IN NEPHROLOGY AND HYPERTENSION
205
HYPERTENSION RESEARCH
785
JOURNAL OF HYPERTENSION
305
SHOCK
47
THROMBOSIS AND HAEMOSTASIS
455
ANGIOLOGY
88
JOURNAL OF CLINICAL HYPERTENSION
142
JOURNAL OF HUMAN HYPERTENSION
320
JOURNAL OF THE RENIN-ANGIOTENSIN-ALDOSTERONE SYSTEM
8
MICROVASCULAR RESEARCH
0
THROMBOSIS JOURNAL
266
JOURNAL OF VASCULAR SURGERY-VENOUS AND LYMPHATIC DISORDERS
36
PREGNANCY HYPERTENSION-AN INTERNATIONAL JOURNAL OF WOMENS CARDIOVASCULAR HEALTH
249
CEREBROVASCULAR DISEASES EXTRA
48
CURRENT HYPERTENSION REVIEWS
30
HIGH BLOOD PRESSURE & CARDIOVASCULAR PREVENTION
171
INTERNATIONAL JOURNAL OF ANGIOLOGY
160
PULSE
28
SCI Abstract
search
ALL
RECOMMENDED
+
Proceedings of the 2023 IDACO/IDHOCO/IDCARS/ UPRIGHT-HTM Osaka Consortium Meeting
17-19 September 2023 Osaka University Nakanoshima Center, Osaka, Japan Meeting Chairpersons: Kei Asayama, Kei K...
Blood Pressure Monitoring
comment
0
thumb_up
0
Factors related to medication adherence in patients with hypertension in Iran: a systematic review study
Objectives This study aimed to review the available studies of the factors in Iranian hypertensiv
Blood Pressure Monitoring
comment
0
thumb_up
0
The relationship between vitamin D and short-term blood pressure variability
Objectives This study aimed to evaluate the relationships between serum levels of 25-hydroxyvitam
Blood Pressure Monitoring
comment
0
thumb_up
0
Ambulatory daytime blood pressure versus tonometric blood pressure measurements in the laboratory: effect of posture
Objective To compare blood pressure (BP) in tonometric radial artery recordings during passive he
Blood Pressure Monitoring
comment
0
thumb_up
0
Impact of dynamic explosive resistance exercise with elastic bands on pulse pressure in hypertensive older adults: a randomized crossover study
Objective This study aimed to evaluate the acute responses of pulse pressure (PP), SBP, and DBP t
Blood Pressure Monitoring
comment
0
thumb_up
0
The evidence of effectiveness of isometric resistance training on the management of hypertension in adults: an umbrella review
Hypertension is the leading risk factor for cardiovascular disease yet also one of the most readily
Blood Pressure Monitoring
comment
0
thumb_up
0
Statistical considerations for testing automated sphygmomanometers in special patient populations
The International Standards Organization 81060-2:2018 is the current global Standard for the validat
Blood Pressure Monitoring
comment
0
thumb_up
0
Validation of the ABPMpro ambulatory blood pressure monitor in the general population according to AAMI/ESH/ISO Universal Standard (ISO 81060-2:2018)
Objective The objective of this study is to evaluate the accuracy of the oscillometric upper-arm
Blood Pressure Monitoring
comment
0
thumb_up
0
Investigation of effective invasive blood pressure control methods to prevent acute exacerbation of acute aortic dissection
Background Acute aortic dissection is associated with high mortality and increased risk of compli
Blood Pressure Monitoring
comment
0
thumb_up
0
Blood pressure surge with alarm is reduced after exercise and diet intervention in firefighters
Background Cardiac-related incidents are a public health concern for tactical occupations, and ca
Blood Pressure Monitoring
comment
0
thumb_up
0
Morning blood pressure surge as a predictor of cardiovascular events in patients with hypertension
Background The prognostic value of ambulatory blood pressure (BP) monitoring (ABPM) is poorly und
Blood Pressure Monitoring
comment
0
thumb_up
0
The association between frontal QRS-T angle and reverse dipper status in newly diagnosed hypertensive patients
The frontal QRS-T angle (fQRS-T angle) in ECG is a new measure of myocardial repolarization, in whic
Blood Pressure Monitoring
comment
0
thumb_up
0
Validation of the Aktiia blood pressure cuff for clinical use according to the ANSI/AAMI/ISO 81060-2:2013 protocol
Objective Assess the accuracy and precision of the Aktiia initialization oscillometric upper-arm
Blood Pressure Monitoring
comment
0
thumb_up
0
Validation of the Hingmed DBP-01P clinical automatic blood pressure monitor provided with wide-range cuff, evaluated in a general population according to the ISO 81060-2:2018 protocol
To determine the accuracy of the Hingmed DBP-01P monitor for clinical automatic blood pressure (BP)
Blood Pressure Monitoring
comment
0
thumb_up
0
Device-guided slow breathing with direct biofeedback of pulse wave velocity - acute effects on pulse arrival time and self-measured blood pressure: Erratum
Figure 4 was incorrectly published in this article [1]. The correct figure 4 is shown below: Fig. 4 ...
Blood Pressure Monitoring
comment
0
thumb_up
0
The association of ambient temperature variability with blood pressure in southern China
Objectives Numerous studies have shown a positive relationship between temperature variability an
Blood Pressure Monitoring
comment
0
thumb_up
0
Left atrial structure and function: association with blood pressure variability in pregnant women
Background The aim of this study was to investigate the relationship between left atrial (LA) abn
Blood Pressure Monitoring
comment
0
thumb_up
0
Variability of blood pressure response to orthostatism and reproducibility of orthostatic hypotension in hospitalized patients with acute ischemic stroke
Objective Orthostatic hypotension (OH) which diagnosis is based on the measurement of the blood p
Blood Pressure Monitoring
comment
0
thumb_up
0
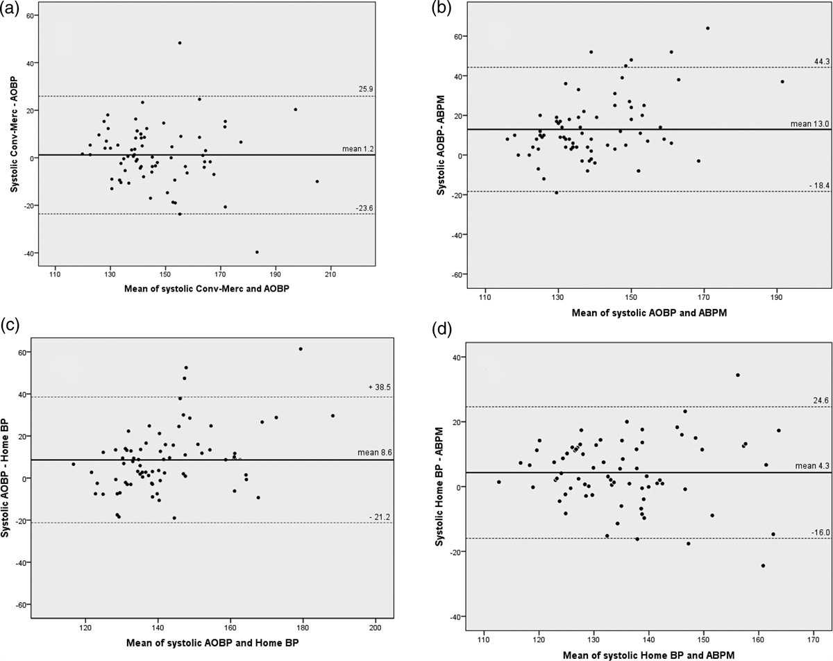
Conventional office blood pressure measurements and unattended automated office blood pressure compared with home self-measurement and 24-h ambulatory blood pressure monitoring
Objective To assess whether automated office blood pressure (BP) (AOBP) measurement is a better m
Blood Pressure Monitoring
comment
0
thumb_up
0
Criteria for a suitable reference cuff for validation studies of blood pressure measuring devices in people with arm circumference between 43 and 50 cm
Objective Recommendations about the dimensions of the reference cuff for device validations in pe
Blood Pressure Monitoring
comment
0
thumb_up
0
Population attributable fraction estimates of cardiovascular diseases in different blood pressure levels in a large-scale cross-sectional study: a focus on prevention strategies and treatment coverage
Objective Hypertension is one of the major modifiable risk factors in developing cardiovascular d
Blood Pressure Monitoring
comment
0
thumb_up
0
Urinary proteomics combined with home blood pressure telemonitoring for health care reform trial (UPRIGHT-HTM): protocol and status on 6 October 2022
Background: Hypertension (HT) and type-2 diabetes (T2DM) cause chronic kidney disease (CKD) and diastolic left ventricular...
Blood Pressure Monitoring
comment
0
thumb_up
0
Heart failure rehospitalization prevention by IoT monitoring: feasibility study protocol
Background: Heart failure hospitalizations result in approximately a quarter of patients being readmitted within a year of...
Blood Pressure Monitoring
comment
0
thumb_up
0
Should we rethink the blood pressure targets in hypertension guidelines?
Hypertension Guidelines disagree on the definition of the more appropriate blood pressure (BP) target to achieve. A shared...
Blood Pressure Monitoring
comment
0
thumb_up
0
Glaucomatous optic neuropathy in relation to 24-h ambulatory blood pressure monitoring
Background: Nocturnal hypoperfusion has been documented as the main vascular systemic risk factor associated with primary ...
Blood Pressure Monitoring
comment
0
thumb_up
0
Bradycardia may determine blood-pressure variability: results from real life office measurements of over half a million members of a large health maintenance organization in Israel
Objective: Historically, guidelines for blood pressure (BP) measurement recommended adjusting the cuff deflation rate to t...
Blood Pressure Monitoring
comment
0
thumb_up
0
Isolated diastolic hypertension in the IDACO study
1Department of Cardiology, Shanghai General Hospital, Shanghai Jiao Tong University School of Medicine, Shanghai, C...
Blood Pressure Monitoring
comment
0
thumb_up
0
Opportunities for improving hypertension control in sub-Saharan Africa
Proceedings of the 2022 IDACO/IDHOCO/IDCARS/UPRIGHT-HTM Consortium MeetingMokwatsi, Gontse G.1,2 Author I...
Blood Pressure Monitoring
comment
0
thumb_up
0
Prognostic significance of home heart rate in the Japanese HOMED-BP study
Objective: Evidence about the prognostic significance of home pulse rate has been lacking and inconsistent. In this study,...
Blood Pressure Monitoring
comment
0
thumb_up
0
Within-week variability of the home blood pressure in the NOSE study
Objective: Few studies have investigated weekly variations in long-term home blood pressure (BP) measurement. The aim of t...
Blood Pressure Monitoring
comment
0
thumb_up
0
Load More
Modal title
×
Modal title
×
Share
Login
Global News and Health Forum
Join Now!
Member Login
Remember me
Forgot password?
Or using
Linkedin