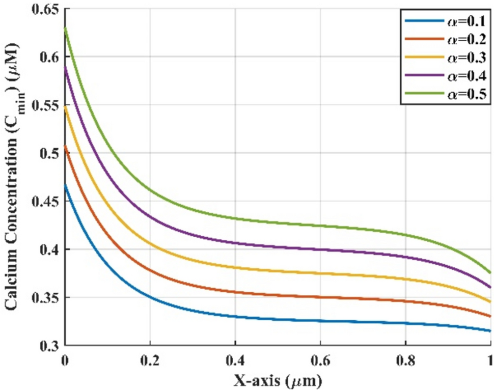
A fuzzy based computational model to analyze the influence of mitochondria, buffer, and ER fluxes on cytosolic calcium distribution in neuron cells

Ahmad L, Farooq M, Ullah S, Abdullah S (2014) Solving fuzzy two-point boundary value problem using fuzzy Laplace transform. arXiv:1403.0571. https://doi.org/10.48550/arXiv.1403.0571

Allahviranloo T, Ahmadi MB (2010) Fuzzy Laplace Transforms. Soft Comput 14:235–243. https://doi.org/10.1007/s00500-008-0397-6

Article  Google Scholar 

Allahviranloo T, Ahmady E, Ahmady N (2008) Nth-order fuzzy linear differential equations. Inf Sci (n y) 178:1309–1324. https://doi.org/10.1016/j.ins.2007.10.013

Article  Google Scholar 

Antman SS, Marsden JE, Sirovich L et al (2004) Interdisciplinary applied mathematics. https://doi.org/10.1007/978-0-387-21779-6. ISBN: 978-1-4419-1898-7

Arancio O et al (2017) Calcium Hypothesis of Alzheimer’s disease and brain aging: A framework for integrating new evidence into a comprehensive theory of pathogenesis. Alzheimer’s Dementia 13:178-182.e17. https://doi.org/10.1016/j.jalz.2016.12.006

Article  Google Scholar 

Avazpour L, Jamshidi L (2012) Solution of the fuzzy boundary value differential equations under generalized differentiability by shooting method. J Fuzzy Set Valued Anal 2012:1–19. https://doi.org/10.5899/2012/jfsva-00136

Article  Google Scholar 

Bede B, Stefanini L (2011) Solution of Fuzzy Differential Equations with generalized differentiability using LU-parametric representation. In: Proceedings of the 7th conference of the European Society for Fuzzy Logic and Technology (EUSFLAT-2011). Atlantis Press, Paris, France

Bede B, Gal SG (2005) Generalizations of the differentiability of fuzzy-number-valued functions with applications to fuzzy differential equations. Fuzzy Sets Syst 151:581–599. https://doi.org/10.1016/j.fss.2004.08.001

Article  Google Scholar 

Bede B, Stefanini L (2013) Generalized differentiability of fuzzy-valued functions. Fuzzy Sets Syst 230:119–141. https://doi.org/10.1016/j.fss.2012.10.003

Article  Google Scholar 

Bellotti R, Pascazio S (2012) Editorial: Advanced physical methods in brain research. Euro Phys J Plus 127:145. https://doi.org/10.1140/epjp/i2012-12145-4

Article  Google Scholar 

Berridge MJ (2013) Dysregulation of neural calcium signaling in Alzheimer disease, bipolar disorder and schizophrenia, Prion. Landes Bioscience 7:(1)2–13. https://doi.org/10.4161/pri.21767

Bezprozvanny I (2009) Calcium signaling and neurodegenerative diseases. Trends Mol Med 15:89–100. https://doi.org/10.1016/j.molmed.2009.01.001

Article  PubMed  PubMed Central  Google Scholar 

Bhattacharyya R, Jha BK (2024) Analyzing fuzzy boundary value problems: a study on the influence of mitochondria and ER fluxes on calcium ions in neuron cells. J Bioenerg Biomembr 56:15–29. https://doi.org/10.1007/s10863-023-09994-3

Article  PubMed  Google Scholar 

Brawek B, Garaschuk O (2014) Network-wide dysregulation of calcium homeostasis in Alzheimer’s disease. Cell Tissue Res 357:427–438

Article  PubMed  Google Scholar 

Crank J (1975) The mathematics of diffusion. Second (ed), ISBN 0 19 853344 6, Oxford University Press

Dubois D, Prade H (1982) Towards fuzzy differential calculus part 3: Differentiation. Fuzzy Sets Syst 8:225–233. https://doi.org/10.1016/S0165-0114(82)80001-8

Article  Google Scholar 

Fard OS, Ghal-Eh N (2011) Numerical solutions for linear system of first-order fuzzy differential equations with fuzzy constant coefficients. Inf Sci (n y) 181:4765–4779. https://doi.org/10.1016/j.ins.2011.06.007

Article  Google Scholar 

Friedman M, Ma M, Kandel A (1999) Numerical solutions of fuzzy differential and integral equations. Fuzzy Sets Syst 106:35–48. https://doi.org/10.1016/S0165-0114(98)00355-8

Article  Google Scholar 

Georgiou DN, Nieto JJ, Rodríguez-López R (2005) Initial value problems for higher-order fuzzy differential equations. Nonlinear Anal Theory Methods Appl 63:587–600. https://doi.org/10.1016/j.na.2005.05.020

Article  Google Scholar 

Gomes LT, Barros LC (2015) A note on the generalized difference and the generalized differentiability. Fuzzy Sets Syst 280:142–145. https://doi.org/10.1016/j.fss.2015.02.015

Article  Google Scholar 

Jameel AF, Shather AH, Anakira NR et al (2020) Comparison for the approximate solution of the second-order fuzzy nonlinear differential equation with fuzzy initial conditions. Math Stat 8:527–534. https://doi.org/10.13189/ms.2020.080505

Article  Google Scholar 

Jha BK, Bhattacharyya R (2024) A Comprehensive fuzzy model for understanding neuronal calcium distribution in presence of VGCC, Na+/Ca2+ exchanger, buffer, and ER fluxes. Cell Biochem Biophys. https://doi.org/10.1007/s12013-024-01291-z

Article  PubMed  Google Scholar 

Jha BK, Adlakha N, Mehta MN (2013) Two-dimensional finite element model to study calcium distribution in astrocytes in presence of VGCC and excess buffer. Int J Model Simul Scientif Comput. https://doi.org/10.1142/S1793962312500304

Article  Google Scholar 

Jha BK, Adlakha N, Mehta MN (2014) Two-dimensional finite element model to study calcium distribution in astrocytes in presence of excess buffer. Int J Biomath. https://doi.org/10.1142/S1793524514500314

Article  Google Scholar 

Jha BK, Joshi H, Dave DD (2018) Portraying the effect of calcium-binding proteins on cytosolic calcium concentration distribution fractionally in nerve cells. Interdiscip Sci 10:674–685. https://doi.org/10.1007/s12539-016-0202-7

Article  PubMed  Google Scholar 

Jha BK, Adlakha N, Mehta MN (2011) Finite volume model to study the effect of buffer on cytosolic Ca2+ advection diffusion. World Acad Sci Eng Technol Int J Phy Math Sci 5(3)

Joshi H, Jha BK (2023a) 2D dynamic analysis of the disturbances in the calcium neuronal model and its implications in neurodegenerative disease. Cogn Neurodyn 17:1637–1648. https://doi.org/10.1007/s11571-022-09903-1

Article  PubMed  Google Scholar 

Joshi H, Jha BK (2023b) 2D memory-based mathematical analysis for the combined impact of calcium influx and efflux on nerve cells. Comput Math Appl 134:33–44. https://doi.org/10.1016/j.camwa.2022.12.016

Article  Google Scholar 

Joshi H, Yavuz M (2024) Numerical analysis of compound biochemical calcium oscillations process in hepatocyte cells. Adv Biol. https://doi.org/10.1002/adbi.202300647

Article  Google Scholar 

Kaleva O (1987) Fuzzy differential equations. Fuzzy Sets Syst 24:301–317. https://doi.org/10.1016/0165-0114(87)90029-7

Article  Google Scholar 

Kaleva O (1990) The cauchy problem for fuzzy differential equations. Fuzzy Sets Syst 35:389–396. https://doi.org/10.1016/0165-0114(90)90010-4

Article  Google Scholar 

Keener James P, Sneyd James (2009) Mathematical physiology, 2nd edn. Springer, Berlin

Book  Google Scholar 

Khastan A, Bahrami F, Ivaz K (2009) New results on multiple solutions for nth-order fuzzy differential equations under generalized differentiability. Boundary Value Prob 2009:1–13. https://doi.org/10.1155/2009/395714

Article  Google Scholar 

Korol’ TY, Korol’ S V, Kostyuk EP, Kostyuk PG (2008) Disruption of Calcium Homeostasis in Alzheimer’s Disease. Neur 40:385–392. https://doi.org/10.1007/s11062-009-9064-5

Kumar Jha B, Adlakha N, Mehta MN (2012) Analytic solution of two dimensional advection diffusion equation arising in cytosolic calcium concentration distribution. Intern Math Forum 7(3):135–144

LaFerla FM (2002) Calcium dyshomeostasis and intracellular signalling in alzheimer’s disease. Nat Rev Neurosci 3:862–872. https://doi.org/10.1038/nrn960

Article  PubMed  Google Scholar 

Liao S (2005) Comparison between the homotopy analysis method and homotopy perturbation method. Appl Math Comput 169:1186–1194. https://doi.org/10.1016/j.amc.2004.10.058

Article  Google Scholar 

Liao Y, Dong Y, Cheng J (2017) The function of the mitochondrial calcium uniporter in neurodegenerative disorders. Int J Mol Sci 18(2):248. https://doi.org/10.3390/ijms18020248

Liao S (2006) Series solutions of unsteady boundary-layer flows over a stretching flat plate. Stud Appl Math. https://doi.org/10.1111/j.1467-9590.2006.00354.x

Lu J (2007) Variational iteration method for solving two-point boundary value problems J. Comput Appl Math 207:92–95. https://doi.org/10.1016/j.cam.2006.07.014

Article  Google Scholar 

Magi S, Castaldo P, MacRi ML, et al (2016) intracellular calcium dysregulation: implications for Alzheimer’s disease. Biomed Res Int

Naik PA (2020) Modeling the mechanics of calcium regulation in T lymphocyte: A finite element method approach. Int J Biomath 13:2050038. https://doi.org/10.1142/S1793524520500382

Article  Google Scholar 

Naik PA, Pardasani KR (2019) Three-dimensional finite element model to study effect of RyR calcium channel, ER leak and SERCA pump on calcium distribution in Oocyte Cell. Int J Comput Methods. https://doi.org/10.1142/S0219876218500913

Article  Google Scholar 

O’Regan D, Lakshmikantham V, Nieto JJ (2003) Initial and boundary value problems for fuzzy differential equations. Nonlinear Anal Theory Methods Appl 54:405–415. https://doi.org/10.1016/S0362-546X(03)00097-X

Article  Google Scholar 

Pawar A, Pardasani KR (2023a) Fractional-order reaction–diffusion model to study the dysregulatory impacts of superdiffusion and memory on neuronal calcium and IP3 dynamics. The European Physical Journal plus 138:780. https://doi.org/10.1140/epjp/s13360-023-04410-6

Article  Google Scholar 

Pawar A, Pardasani KR (2023b) Computational model of calcium dynamics-dependent dopamine regulation and dysregulation in a dopaminergic neuron cell. The Euro Phys J Plus 138:30. https://doi.org/10.1140/epjp/s13360-023-03691-1

Article  Google Scholar 

Rajakulendran S, Hanna MG (2016) The role of calcium channels in epilepsy. Cold Spring Harb Perspect Med. https://doi.org/10.1101/cshperspect.a022723

Article  PubMed 

Comments (0)

No login
gif