Moving Beyond Referrals: Addressing Multilevel Barriers to Substance Use Treatment Engagement Through Police-Led Recovery Management Check-Ups

Drug Overdose Death Rates. Bethesda, MD: National Institute on Drug Abuse, 2023. Available at https://nida.nih.gov/research-topics/trends-statistics/overdose-death-rates. Accessed 5 April, 2024.

Langabeer J, Champagne-Langabeer T, Luber SD, et al. Outreach to people who survive opioid overdose: Linkage and retention in treatment. Journal of Substance Abuse Treatment, 2020; 111: 11–15. Available at https://doi.org/10.1016/j.jsat.2019.12.008 Accessed 5 April, 2024.

Overdose Deaths and the Involvement of Illicit Drugs. Atlanta, GA: Centers for Disease Control and Prevention, 2023). Available at https://archive.cdc.gov/#/details?url=https://www.cdc.gov/drugoverdose/featured-topics/VS-overdose-deaths-illicit-drugs.html. Accessed 5 April, 2024.

Green TC, Zaller N, Palacios WR, et al. Law enforcement attitudes toward overdose prevention and response. Drug and Alcohol Dependence, 2013; 133(2): 677–684. Available at https://doi.org/10.1016/j.drugalcdep.2013.08.018 Accessed 5 April, 2024.

Won NY, Palamar JJ, Mike SA, et al. A Qualitative analysis of Emergency Medical Services personnel experiences and perceptions responding to drug overdoses in the United States during the COVID-19 Pandemic. Journal of Health Research, 2023; 270–279. Available at https://doi.org/10.56808/2586-940x.1045. Accessed 5 April, 2024.

Bagley SM, Schoenberger SF, Waye KM, et al. A scoping review of post opioid-overdose interventions. Preventive Medicine, 2019; 128: 105813–105813. Available at https://doi.org/10.1016/j.ypmed.2019.105813 Accessed 5 April, 2024.

Goodison SE, Vermeer MJ, Barnum JD, et al. (2019). Law Enforcement Efforts to Fight the Opioid Crisis: Convening Police Leaders, Multidisciplinary Partners, And Researchers to Identify Promising Practices and to Inform a Research Agenda. Santa Monica, CA: RAND, 2019. Available at https://www.rand.org/pubs/research_reports/RR3064.html. Accessed 5 April, 2024.

Lurigio AJ, Andrus J, Scott CK. The opioid epidemic and the role of law enforcement officers in saving lives. Victims & Offenders, 2018; 13(8): 1055–1076. Available at https://doi.org/10.1080/15564886.2018.1514552 Accessed 5 April, 2024.

Ray B, Richardson NJ, Attaway PR, et al. A national survey of law enforcement post-overdose response efforts. The American Journal of Drug and Alcohol Abuse, 2023; 49(2): 199–205. Available at https://doi.org/10.1080/00952990.2023.2169615 Accessed 5 April, 2024.

Formica SW, Apsler R, Wilkins L, et al. Post opioid overdose outreach by public health and public safety agencies: Exploration of emerging programs in Massachusetts. International Journal of Drug Policy, 2018: 54, 43–50. Available at https://doi.org/10.1016/j.drugpo.2018.01.001. Accessed 5 April, 2024.

Streisel S, Visher C, O’Connell DJ, et al. Using law enforcement to improve treatment initiation and recovery. Federal Probation, 2019; 83(2): 39–72. Available at https://www.uscourts.gov/sites/default/files/83_2_8_0.pdf. Accessed 5 April, 2024.

White MD, Perrone D, Watts S, et al. (2021). Moving beyond Narcan: A police, social service, and researcher collaborative response to the opioid crisis. American Journal of Criminal Justice, 2021; 46: 626–643. Available at https://doi.org/10.1007/s12103-021-09625-w. Accessed 5 April, 2024.

Overdose Data to Action Case Studies: Public Safety-Led Post-Overdose Outreach. Atlanta GA: Centers for Disease Control and Prevention, 2022. Available at https://www.cdc.gov/overdose-prevention/media/pdfs/OD2A-Case-Studies-Public-Safety-Led-Post-Overdose-Outreach-Programs-508.pdf. Accessed 5 April, 2024.

Banta-Green CJ, Beletsky L, Schoeppe JA., et al. Police officers’ and paramedics’ experiences with overdose and their knowledge and opinions of Washington State’s Drug Overdose–Naloxone–Good Samaritan Law. Journal of Urban Health, 2013; 90(6), 1102–1111. Available at https://doi.org/10.1007/s11524-013-9814-y. Accessed 5 April, 2024.

Schiff DM, Drainoni M-L, Bair-Merritt M, et al. A police-led addiction treatment referral program in Massachusetts. The New England Journal of Medicine, 2016; 375(25): 2502–2503. Available at https://doi.org/10.1056/NEJMc1611640 Accessed 5 April, 2024.

Schiff DM, Drainoni M-L, Weinstein ZM, et al. A police-led addiction treatment referral program in Gloucester, MA: Implementation and participants’ experiences. Journal of Substance Abuse Treatment, 2017; 82: 41–47. Available at https://doi.org/10.1016/j.jsat.2017.09.003 Accessed 5 April, 2024.

Dahlem CH, Scalera M, Anderson G, et al. Recovery opioid overdose team (ROOT) pilot program evaluation: a community-wide post-overdose response strategy. Substance Abuse, 2021; 42(4): 423–427. Available at https://doi.org/10.1080/08897077.2020.1847239 Accessed 5 April, 2024.

White W, Cloud W. Recovery capital: A primer for addictions professionals. Counselor, 2008; 9(5): 22–27. Available at https://doi.org/10.2190/911R-MTQ5-VJ1H-75CU Accessed 5 April, 2024.

Mechanic, D. More people than ever before are receiving behavioral health care in the United States, but gaps and challenges remain. Health Affairs, 2014; 33(8): 1416–1424. Available at https://doi.org/10.1377/hlthaff.2014.0504 Accessed 12 April, 2024.

Rapp CA, Etzel-Wise D, Marty D, et al. (2010). Barriers to evidence-based practice implementation: Results of a qualitative study. Community Mental Health Journal, 2010; 46(2): 112–118. Available at https://doi.org/10.1007/s10597-009-9238-z Accessed 12 April, 2024.

Madras BK, Ahmad NJ, Wen J, et al. Improving Access to Evidence-Based Medical Treatment for Opioid Use Disorder: Strategies to Address Key Barriers within the Treatment System. Washington, DC: National Academy of Medicine, 2020. Available at https://doi.org/10.31478/202004b Accessed 12 April, 2024.

Priester MA, Browne T, Iachini A, et al. Treatment access barriers and disparities among individuals with co-occurring mental health and substance use disorders: an integrative literature review. Journal of Substance Abuse Treatment, 2016; 61: 47–59. Available at https://doi.org/10.1016/j.jsat.2015.09.006 Accessed 12 April, 2024.

Gutierrez D, Dorais S, Goshorn JR. Recovery as life transformation: Examining the relationships between recovery, hope, and relapse. Substance Use & Misuse, 2020; 55(12): 1949–1957. Available at https://doi.org/10.1080/10826084.2020.1781181 Accessed 12 April, 2024.

Kvamme BO, Asplund K, Bjerke TN. Drinking resumption: problematic alcohol use relapse after rehabilitation. A phenomenological hermeneutical perspective. Scandinavian Journal of Caring Sciences, 2015; 29(4): 716–723. Available at https://doi.org/10.1111/scs.12202 Accessed 12 April, 2024.

Paul L. Meeting opioid users where they are: a service referral approach to law enforcement. North Carolina Medical Journal, 2018; 79(3): 172–173. Available at https://doi.org/10.1016/j.drugpo.2020.102849 Accessed 19 April, 2024.

Police Executive Research Forum. Policing on the Front Lines of the Opioid Crisis, 2021. Washington, DC: Office of Community Oriented Policing Services. Available at https://www.policeforum.org/assets/PolicingOpioidCrisis.pdf. Accessed 19 April, 2024.

La Vigne N, Willison JB, Duane M. et al. Comprehensive Opioid Abuse Program Assessment: Examining the Scope and Impact of America’s Opioid Crisis. Washington, DC: Urban Institute, 2019. Available at https://www.urban.org/research/publication/comprehensive-opioid-abuse-program-assessment Accessed 19 April, 2024.

Yatsco AJ, Champagne-Langabeer T, Holder TF, et al. Developing interagency collaboration to address the opioid epidemic: A scoping review of joint criminal justice and healthcare initiatives. International Journal of Drug Policy, 2020; 83. Available at https://doi.org/10.1016/j.drugpo.2020.102849 Accessed 19 April, 2024.

Willman MW, Liss DB, Schwarz ES, et al. Do heroin overdose patients require observation after receiving naloxone?. Clinical Toxicology, 2017; 55(2): 81–87. Available at https://doi.org/10.1080/15563650.2016.1253846 Accessed 19 April, 2024.

Elliott L, Bennett AS, Wolfson‐Stofko B. Life after opioid‐involved overdose: survivor narratives and their implications for ER/ED interventions. Addiction, 2019; 114(8): 1379–1386. Available at https://doi.org/10.1111/add.14608 Accessed 19 April, 2024.

Paradise RK, Desmarais J, O'Malley SE, et al. Perspectives and recommendations of opioid overdose survivors experiencing unsheltered homelessness on housing, overdose, and substance use treatment in Boston, MA. International Journal of Drug Policy, 2023; 119: 104127. Available at https://doi.org/10.1016/j.drugpo.2023.104127 Accessed 19 April, 2024.

Rehman M, Chapman L, Liu L, et al. Structural stigma within inpatient care for people who inject drugs: implications for harm reduction. Harm Reduction Journal, 2024; 21(1): 53–53. Available at https://doi.org/10.1186/s12954-024-00971-6 Accessed 19 April, 2024.

Dennis ML, Scott CK, Laudet A. Beyond bricks and mortar: Recent research on substance use disorder recovery management. Current Psychiatry Reports, 2014; 16: 1–7. Available at https://doi.org/10.1007/s11920-014-0442-3 Accessed 26 April, 2024.

Scott CK, Dennis ML, Lurigio AJ. The effects of specialized probation and recovery management checkups (RMCs) on treatment participation, substance use, HIV risk behaviors, and recidivism among female offenders: Main findings of a 3-year experiment using subject by intervention interaction analysis. Journal of Experimental Criminology, 2017; 13: 53–77. Available at https://doi.org/10.1007/s11292-016-9281-z Accessed 26 April, 2024.

Scott CK, Dennis ML, Grella CE, et al. Findings from the recovery initiation and management after overdose (RIMO) pilot study experiment. Journal of Substance Abuse Treatment, 2020; 108: 65–74. Available at https://doi.org/10.1016/j.jsat.2019.08.004 Accessed 26 April, 2024.

Scott CK, Dennis ML, Grella CE, et al. Improving retention across the OUD service cascade upon reentry from jail using Recovery Management Checkups-Adaptive (RMC-A) experiment. Journal of Substance Abuse Treatment, 2021; 128: 108245. Available at https://doi.org/10.1016/j.jsat.2020.108245 Accessed 26 April, 2024.

Davoust M, Grim V, Hunter A, et al. Examining the implementation of police-assisted referral programs for substance use disorder services in Massachusetts. International Journal of Drug Policy, 2021; 92: 103142. Available at https://doi.org/10.1016/j.drugpo.2021.103142 Accessed 26 April, 2024.

Blais E, Brisson J, Gagnon F, et al. Diverting people who use drugs from the criminal justice system: A systematic review of police-based diversion measures. International Journal of Drug Policy, 2022; 105: 103697. Available at https://doi.org/10.1016/j.drugpo.2022.103697 Accessed 26 April, 2024.

Worthington N, Gilliam T, Mital S, et al. Systematic/narrative review: First responder assertive linkage programs: A scoping review of interventions to improve linkage to care for people who use drugs. Journal of Public Health Management and Practice, 2022; 28(6): S302. Available at https://doi.org/10.1097/PHH.0000000000001611 Accessed 26 April, 2024.

Ogrinc G, Davies L, Goodman D, et al. SQUIRE 2.0 (Standards for QUality Improvement Reporting Excellence): revised publication guidelines from a detailed consensus process. BMJ Quality & Safety, 2016; 25(12): 986–992. Available at https://doi.org/10.1136/bmjqs-2015-004411 Accessed 26 April, 2024.

Miller WR, Rollnick S. Meeting in the middle: Motivational interviewing and self-determination theory. The International Journal of Behavioral Nutrition and Physical Activity, 2012; 9(1): 25–25. Available at https://doi.org/10.1186/1479-5868-9-25 Accessed 3 May, 2024.

Substance Abuse Dashboard: Overdoses. FLHealthCHARTS, 2021. Available at https://www.flhealthcharts.gov/ChartsDashboards/rdPage.aspx?rdReport=SubstanceUse.Overdose&islCounty=69. Accessed 3 May, 2024.

Pars E, VanDerNagel JEL, Dijkstra BAG, et al. Using the Recovery Capital Model to explore barriers to and facilitators of recovery in individuals with substance use disorder, psychiatric comorbidity and mild-to-borderline intellectual disability: A case series. Journal of Clinical Medicine, 2023: 12(18), 5914. Available at https://doi.org/10.3390/jcm12185914. Accessed 3 May, 2024.

Cano I, Best D, Edwards M, et al. Recovery capital pathways: Modelling the components of recovery wellbeing. Drug and Alcohol Dependence, 2017; 181: 11–19. Available at https://doi.org/10.1016/j.drugalcdep.2017.09.002 Accessed 3 May, 2024.

Hennessy EA. Recovery capital: A systematic review of the literature. Addiction Research & Theory, 2017; 25(5): 349–360. Available at https://doi.org/10.1080/16066359.2017.1297990 Accessed 3 May, 2024.

Best D, Hennessy EA. The science of recovery capital: where do we go from here? Addiction (Abingdon, England), 2022; 117(4): 1139–1145. Available at https://doi.org/10.1111/add.15732 Accessed 3 May, 2024.

IBM Corp. Released 2023. IBM SPSS Statistics for Windows, Version 29.0.2.0 Armonk, NY: IBM Corp. Accessed 3 May, 2024.

Csárdi G, Nepusz T, Traag V, et al. igraph: Network Analysis and Visualization in R, 2024 Available at https://cran.r-project.org/package=igraph. Accessed 3 May, 2024.

Guest G, Bunce A, & Johnson L. (2006). How many interviews are enough?: An experiment with data saturation and variability. Field Methods, 2006; 18(1): 59–82. Available at https://doi.org/10.1177/1525822X05279903. Accessed 3 May, 2024.

ATLAS.ti Scientific Software Development GmbH. (2023). ATLAS.ti Web Version (version 5.8.0) [Qualitative data analysis software]. Available at https://atlasti.com Accessed 3 May, 2024.

Bernard HR, Wutich A, Ryan GY. Analyzing Qualitative Data Systematic Approaches (2nd ed.). Sage Publications, Inc., 2016. Accessed 3 May, 2024.

Graneheim UH, Lundman B. Qualitative content analysis in nursing research: concepts, procedures and measures to achieve trustworthiness. Nurse Education Today, 2004; 24(2): 105–112. Available at https://doi.org/10.1016/j.nedt.2003.10.001 Accessed 3 May, 2024.

Forman J, Damschroder,L. (2007). Qualitative content analysis. In Empirical methods for bioethics: A primer (pp. 39–62). Emerald Group Publishing Limited. Available at https://doi.org/10.1016/S1479-3709(07)11003-7. Accessed 10 May, 2024.

Luciano A, Belstock J, Malmberg P, et al. Predictors of incarceration among urban adults with co-occurring severe mental illness and a substance use disorder. Psychiatric Services, 2014: 65(11): 1325–1331. Available at https://doi.org/10.1176/appi.ps.201300408. Accessed 10 May, 2024.

Zimmermann D, Wampold BE, Rubel JA, et al.The influence of extra-therapeutic social support on the association between therapeutic bond and treatment outcome. Psychotherapy Research, 2021: 31(6): 726–736. Available at https://doi.org/10.1080/10503307.2020.1847344. Accessed 10 May, 2024.

Livingston JD, Desmarais SL, Greaves C, et al. What influences perceptions of procedural justice among people with mental illness regarding their interactions with the police?. Community Mental Health Journal, 2014; 50: 281–287. Available at https://doi.org/10.1007/s10597-012-9571-5. Accessed 10 May, 2024.

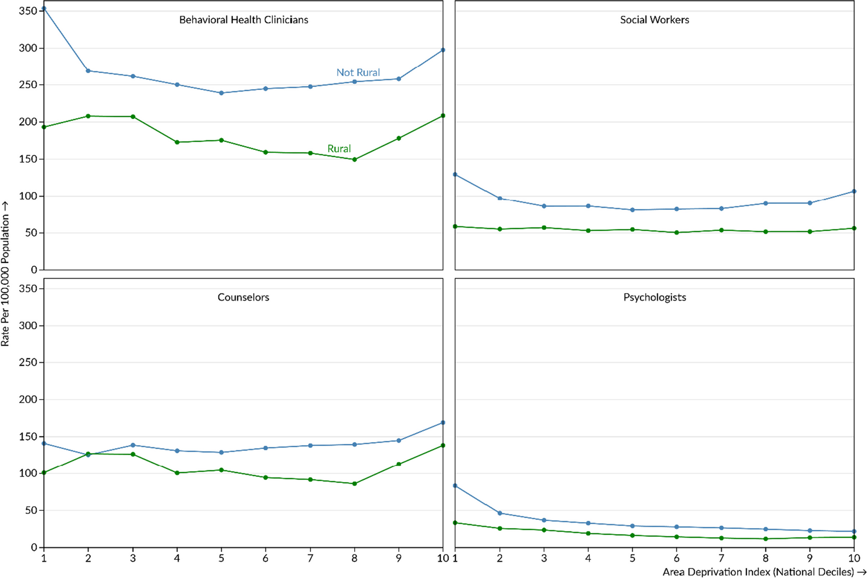
Swann WL, Kim S, Kim SY, et al. Urban‐rural disparities in opioid use disorder prevention and response activities: A cross‐sectional analysis. The Journal of Rural Health, 2021: 37(1), 16–22. Available at https://doi.org/10.1111/jrh.12491. Accessed 17 May, 2024.

Rigg KK, Proctor SL, Kusiak ES, et al. Assessing feasibility and barriers to implementing a family-based intervention in opioid treatment programs. Journal of Behavioral Health Services & Research, 2024; 51(2): 151–163. Available at https://doi.org/10.1007/s11414-023-09873-0. Accessed 17 May, 2024.

Rigg KK, Weiner MA, Kusiak ES, et al. Patterns of polydrug use among Black Americans who misuse opioids. Journal of Behavioral Health Services & Research, 2024. Available at https://doi.org/10.1007/s11414-024-09878-3. Accessed 17 May, 2024.

Comments (0)

No login
gif